Сторінка
2
У фінансових операціях часто застосовують періодичні платежі. Однакові платежі в кінці кожного періоду протягом певної кількості періодів називають звичайним ануїтетом. Якщо платежі здійснюються постійно протягом невизначеної кількості періодів, їх називають безстроковими, або довічними, ануїтетами. Прикладом звичайного ануїтету можуть бути щорічні виплати фіксованого доходу за процентними облігаціями протягом терміну обігу облігацій, а прикладом довічного — фіксовані дивіденди за привілейованими акціями (адже це безстрокові цінні папери).
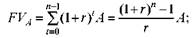
Майбутню і теперішню вартості ануїтету визначають за формулами відповідно
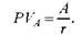
де А — сума ануїтету; n — кількість періодів. Довічний ануїтет обчислюють за формулою
Оскільки вартість активів, як зазначалося, спирається на теперіш-ню вартість майбутніх грошових потоків, які може забезпечити ак-тив, то для його оцінки слід визначити, з яких доходів складається
грошовий потік того чи іншого активу. З огляду на це застосовують певні підходи до оцінки різних видів цінних паперів.
Оцінка простих акцій.
Грошові доходи власника простої акції мають дві форми:
• дивіденди у грошовій формі;
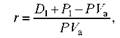
• дохід (або збиток) від приросту (зниження) курсу акції. Зазви-чай інвестори сподіваються одержати дохід в обох формах. Тоді нор-му дохідності (процентна ставка) r, яку інвестор очікує в наступному році, визначають за формулою
де D1 — очікуваний дивіденд на акцію; P1 — очікувана ціна акції в кінці першого року; PVa — теперішня вартість акції.
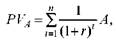
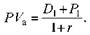
Якщо відома очікувана норма дохідності інших акцій з аналогічним ступенем ризику, а також є прогноз щодо розміру дивідендів і зміни ціни акцій, можна обчислити теперішню вартість акції:
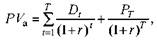
Загальна формула для визначення теперішньої вартості акції така:
T
де T — тривалість періоду, років; Dt — дивіденди t-го року; ∑ —сума дисконтованих дивідендів з першого по Т-й рік; PT — очікувана ціна акції наприкінці року Т.
Акції не мають встановленого терміну обігу, загалом вони вічні. У цьому разі Т означає нескінченність, і теперішня вартість очікуваної майбутньої ціни наближатиметься до нуля і може не враховуватися в розрахунку теперішньої вартості. Отже, для визначення теперішньої вартості акції потрібно просто продисконтувати потік дивідендів за дисконтною ставкою, що дорівнює нормі дохідності цінних паперів з подібним ступенем ризику.
Список використаної літератури
1. Мозговий О. Фондовий ринок нарощує м'язи // Уряд, кур'єр. — 2000. — № 9. — С 4.
2. Мозговий О. Фондовий ринок України: сучасний стан // Уряд, кур'єр. — 2000.—№ 140. — С 5.
3. Муравйов А., Савулькін Л. Корпоративне управління та його вплив на поведінку приватизованих підприємств // Про приватизацію: Держ. інформ.бюл. — 1999. — № 1.—С 51-56.
4. Нарский В., Краев А., Коньков И. Американские депозитарные расписки — средство привлечения зарубежных инвестиций // Фин. бизнес. — 1999.—№ П.—С. 44-47.
5. Нікбахт Е., Гропеллі А. Фінанси: Пер. з англ. — К.: Вік; Глобус, 1992.
6. Основы корпоративных финансов: Пер. с англ. / С. Росс и др. — М.: Лаборатория базовых знаний, 2000.
7. Павлова Л. П. Финансы предприятий. — М.: Финансы, ЮНИТИ, 1998.
8. Петруня Ю. Є. Індивідуальні інвестори на ринку акцій України: мотиви діяльності // Фінанси України. — 1999. — № 5. — С. 11-15.
9. Пишпек С И. Корпоративные отношения в экономике Украины: концентрация собственности и эффективное управление // Про приватизацію: Держ. інформ. бюл. — 1999. —№ 12. — С. 65-66.
10. Попов В. М., Романишш В. О. Ринок цінних паперів у відтворювально-му процесі перехідної економіки // Фінанси України. — 1998. — № 8. — С 119.
11. Ромашко О. Ю., Бурмака М. О. Контроль за дотриманням законодавства про цінні папери як чинник поліпшення інвестиційного клімату в Україні // Про приватизацію: Держ. інформ. бюл. — 2000. — № 6. — С 51-56.
12. Савин В. Корпоративные облигации как средство привлечения капитала // Финансист. — 1999. — № 7. — С. 28-34.
13. Савчук В. П., Скрипник Р. А. Порівняльний аналіз підходів до оцінки вартості акціонерного капіталу та можливості їх застосування // Про приватизацію: Держ. інформ. бюл. — 2000. — № 2. — С. 54-57.
1 2
Інші реферати на тему «Фінанси»:
Фінансова система держави
Національні фінанси України і внутрішнє середовище. Потоки капіталів в Україні, основні фінансові інститути України
Визначальна роль валютного курсу в системі міжнародних фінансів. Конвертованість валют
Оцінка рівня ризику діяльності на основі зон ризику, оцінка ризику діяльності через імовірнісні характеристики, оцінка ризику (рейтинг) діяльності комерційного банку, обґрунтування підприємницьких рішень на основі оцінки границь фінансової стійкості під
Оцінка фiнансового стану пiдпpиємства, її необхiднiсть i значення
