Сторінка
1
Критерієм ефективної діяльності корпорації є примноження капіталу, джерелом формування якого є внески акціонерів. Тому основним завданням фінансового управління корпорацією є збільшення вартості акціонерного капіталу і відповідно примноження багатства акціонерів. Для досягнення цієї мети необхідно, з одного боку, приймати правильні інвестиційні рішення, тобто визначати, куди спрямувати кошти фондів корпорацій, які активи придбати, а з іншого — правильно обирати джерела фінансування інвестицій, тобто слід прагнути залучити капітал на найвигідніших умовах (якомога дешевше), а інвестувати його в активи, вартість яких згодом перевищить витрати на їх придбання.
Отже, інвестиційні рішення грунтуються на визначенні вартості (ціни) активів і капіталу, що залучається з різних джерел, для фінансування активів.
Вартість капіталу — це ціна, яку корпорація має платити за залучення коштів інвесторів і кредиторів як джерел фінансування. Вона визначається процентною ставкою, яку необхідно сплачувати за використання капіталу. З погляду корпорації це мінімальна ставка доходу, яку мають принести інвестиції, щоб можна було розрахуватися з інвесторами і кредиторами.
Кожна грошова одиниця, що використовується як капітал, тобто інвестується в певні активи з метою отримання доходу, має формувати грошовий потік: що більший очікуваний майбутній грошовий потік, то цінніше придбаний актив (наприклад, акція). Звідси
випливає визначення вартості активів як розміру прибутку, на який розраховують інвестори.
Проте вкладення коштів і отримання доходів — операції, що не збігаються в часі. А час впливає на гроші однозначно — вони знецінюються під впливом факторів ризику, невизначеності, інфляції. Тому всі фінансові операції здійснюються під гаслом “гроші сьогодні дорожчі, ніж завтра”, і воно буде тим актуальніше, чим на триваліший термін вкладаються кошти.
Безумовно, зміну вартості грошей у часі слід ураховувати, визначаючи майбутні грошові потоки від інвестицій і вартість капіталу як процентної ставки доходу. Тому в основу оцінки вартості капіталу і рішень з інвестування капіталу покладена концепція зміни вартості грошей у часі. Вона містить комплекс фінансових розрахунків, пов’язаних з нарахуванням простих і складних відсотків, визначенням майбутньої вартості (Future Value — FV) інвестицій, теперішньої вартості (Present Value — PV) майбутніх грошових потоків, оцінкою звичайних і безстрокових (довічних) ануїтетів (однакові за розміром платежі через рівні періоди часу), визначенням чистої теперішньої вартості (Net Present Value — NPV) і внутрішньої норми прибутку (Internal Rate of Return — IRR) інвестиційних проектів. У навчальній літературі з фінансового менеджменту докладно розглядається механізм урахування дії фактора часу. Нагадаємо тільки, так би мовити “ази”, необхідні для розуміння методів оцінки активів і джерел капіталу корпорацій.
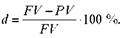
Для визначення ефективності фінансових операцій застосовують дві відносні величини, що характеризують приріст капіталу початкового внеску або щодо кінцевої суми, — це відносне зростання (процентна ставка) і відносне зниження (дисконт) або облікова ставка.
Процентна ставка
де FV — кінцева сума, що повертається після завершення операції (майбутня вартість); PV — сума початкового внеску капіталу (теперішня вартість).
Дисконт (облікова ставка)
При нарахуванні простих відсотків сума, що повертається з відсотками наприкінці операції,
де T — тривалість операції, років; r — річна ставка відсотків.
При нарахуванні складних відсотків початковий капітал нарощується разом з відсотками. Тому сума, що повертається в кінці операції, становитиме
де (1 + r)Т — коефіцієнт нарощування.
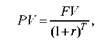
Якщо потрібно розв’язати обернену задачу, тобто знаючи FV, визначити PV, застосовують процедуру дисконтування:
- коефіцієнт дисконтування (капіталізації доходів); r — річна ставка відсотків, що виконує роль дисконтної ставки.
Коефіцієнти дисконтування застосовують для розрахунку знецінюючого впливу фактора часу на очікувані майбутні грошові потоки (доходи) від інвестицій. Отже, за формулою визначають дисконтований грошовий потік, тобто теперішню вартість майбутніх доходів з урахуванням знижки (втрати частини вартості грошей за час Т).
Зважаючи на вплив фактора часу, вартість (ціна) активів визначають як теперішню вартість (PV) їх майбутніх грошових потоків.
Чиста теперішня вартість NPV — це різниця між дисконтованою (теперішньою) вартістю майбутніх грошових потоків PV і початковими інвестиціями I за інвестиційним проектом. Якщо NPV > 0, то проект можна інвестувати, оскільки буде одержано реальний дохід, якщо NPV < 0, то це невигідний варіант, оскільки початкові інвестиції не покриваються дисконтованими майбутніми доходами.
З погляду примноження багатства акціонерів метою менеджерів корпорації має бути пошук і реалізація інвестиційних проектів, що забезпечать сумарно найбільше значення NPV.
Якщо NPV = 0, початкові інвестиції відшкодовуються, але прибутку не буде одержано.
Дисконтна ставка, коли NPV = 0, називається внутрішньою нор-мою прибутку (Internal Rate of Return — IRR) проекту, тобто цю величину можна вважати максимально можливою ціною, за якою корпорація може залучити капітал на фінансування проекту. Якщо ціна капіталу буде вищою, фірма зазнає збитків від такого інвестування.
Для прийняття рішень щодо інвестицій можна використовувати також показник періоду окупності інвестицій, який показує кількість років, необхідний на відшкодування початкових інвестицій. Щоб урахувати дію фактора часу, тут можна теж використати дисконтування, тобто прогнозовані щорічні грошові потоки дисконтувати за певною ставкою і підсумовувати дисконтовану вартість доти, поки вона не зрівняється із сумою початкових інвестицій. Слід віддавати перевагу проектам з коротшим терміном окупності дисконтованими грошовими потоками.
1 2
Інші реферати на тему «Фінанси»:
Методологічні основи інвестування
Чинний порядок оподаткування прибутку
Конституційно-парламентське походження бюджету і демократичний вибір бюджетних пріоритетів
Міжнародні економічні організації як суб'єкти міжнародних фінансів. Міжнародні та регіональні економічні структури
Аналіз ефективності та інтенсивності використання капіталу
