Сторінка
2
|
Набрана кількість балів |
Бал учбових досягнень |
|
1 |
1 |
|
2 |
2 |
|
3 |
3 |
|
4-6 |
4 |
|
7-9 |
5 |
|
10-12 |
6 |
|
13-16 |
7 |
|
17-19 |
8 |
|
20-21 |
9 |
|
22-23 |
10 |
Узагальнювальні тести
Узагальнювальні тести дають можливість систематизувати інформацію, отриману під час вивчення теми, і підготуватися до підсумкового контролю.
Один з варіантів узагальнювального завдання складається з двох видів тестів:
тест 1 призначений для перевірки засвоєння учнями теоретичного матеріалу, знання основних законів, правив і визначень;
тест 2 перевіряє уміння учнів вирішувати елементарні розрахункові завдання з даної теми на застосування вивчених законів і формул.
Кожен тест містить декілька питань і складений в двох варіантах. Всі варіанти приблизно однакові по ступеню складнощі. Кожне завдання в обох варіантах перевіряє засвоєння одних і тих самих (або близьких по сенсу) елементів знань різними способами.
Рекомендується проводити перевірку знань з використанням таких тестів перед проведенням підсумкової контрольної роботи. Це дасть можливість вчителеві перевірити уміння учнів застосовувати свої знання під час вирішення елементарних завдань, які лежать в основі складніших завдань і завдань. Допоможе проявити типові помилки, на які треба звернути увагу при підготовці до контрольної роботи.
При складанні тестів необхідно дотримуватися наступних правил
А) Запропонований блок тестів повинен бути валідним. (Валідність - ступінь відповідності блоку тестів (тесту) його призначенню.)
B) Текст кожного тесту повинен бути ясним для розуміння і не містити "смислових пасток", якщо це заздалегідь не сплановано.
C) Графіки, креслення, схеми, приведені в умові повинні бути виконані стандартним чином (тобто дотримуватися умовних позначень прийнятих в більшості підручників.)
D) Графіки, креслення, схеми повинні обов'язково складати з текстом логічно цілісну структуру.
E) Умови тестів, приведені в тестовому блоці завдань, повинні описувати реальні ситуації. (Слід уникати тестів з надуманою ситуацією і великою кількістю спеціальних термінів.)
F) Значення величин, що входять в умову тесту, повинні носити реальний характер.
G) При композиції тесту необхідно (по можливості) враховувати не тільки рішення, що отримується стандартним, традиційним чином, але і рішення отримуване в результаті оригінального нестандартного підходу. Очевидно, що таке можливо лише для найбільш просунутих, маючих науковий, достатньо великий навик вирішення завдань.
H) Розрахунок визначуваної величини повинен бути проведений без достатньо складних математичних перетворень.
I) Відповіді на приведені тести не повинні бути "підказкою" для вирішення інших тестів.
J) Тестові блоки повинні задовольняти всім загально дидактичним принципам, тобто науковості, доступності, наочності
Велике значення має і правильне складання сітки відповідей, що є найбільш важливою і важкою частиною композиції тестів. (Дійсно, в ідеалі, кожна відповідь повинна бути складений з урахуванням характерних помилок що вчиться, що дозволяє діагностувати його знання і характер особи найточніше.) Прийнято рахувати оптимальне число відповідей - п'ять. В цьому випадку різко падає вірогідність вгадування. (При такій кількості відповідей, вірогідність вгадування складає 20%. )
При складанні сітки відповідей на запропоновані тести можна рекомендувати наступні принципи.
А) Крім правильної відповіді, чотири інших відповіді повинні враховувати характерні помилки учня. Очевидно що побудова такої сітки відповідей, по силу лише вчителеві з дуже великим стажем роботи. Виходячи з цього, відмітимо, що складання окремого тесту, реально для будь-якого вчителя, проте правильний підбір сітки відповідей і компанування релевантного блоку тестів підсилу лише досвідченому вчителеві.
B) У разі неможливості побудови відповідей, недостатнє число відповідей необхідно доповнити відповідями, які противомовлять здоровому глузду. Відкидання даних відповідей вчаться може трактуватися як наявність певних знань, інтуїції придбаною в результаті цілеспрямованої роботи в процесі навчання.
C) Відповіді можуть бути підібрані і таким чином, що всі відповіді є правильними, але - частково! І лише одна відповідь є повною, а отже і правильним. ( Зазвичай така сітка відповідей конструюється при перевірці теоретичної бази знань. )
У перспективі планується кожній відповіді (навіть неправильному) привласнювати певний коефіцієнт, що дозволить з найбільшим ступенем надійності діагностувати не тільки знання що вчиться, але і його психофізіологічні якості особи.
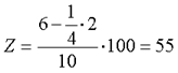
Вкажемо формулу, що рекомендується, для підрахунку балів по виконанню заданого блоку тестів. ( Природно, що ця формула не враховує коефіцієнти вирішаючи ступінь неправильної відповіді - це надалі! )
Де:
Z - число набраних балів.
N0*-число правильних відповідей з відповідного блоку тестів
N- число тестів з неправильними відповідями
N0 - число всіх тестів із заданого блоку.
З приведеної вище формули виходить, що невирішений тест зменшує підсумкова кількість балів менше, ніж фіксація неправильної відповіді.
Покажемо це на конкретному прикладі.
Хай число в даному блоці тестів рівне 10. Хай число правильно вирішених тестів 6., число неправильне вирішених 2. ( Відповідно учень 2 тести не вирішував або ж не ризикнув відзначити відповіді на них. ). Тоді число набраних балів :
Припустимо, що учень сподіваючись на успіх, довільним чином відзначив ті два тести вирішення яких він не знав. Враховуючи низький ступінь вірогідності вгадування, можна припустити що відповіді будуть невірними, тоді число неправильно вирішених тестів буде рівне 4, і відповідно набрана кількість балів:
Приведені розрахунки показують, що учень повинен відзначати лише ті відповіді в тестових блоках в яких він упевнений. (Проте статистика показує, що при великій кількості завдань в тестовому блоці, є сенс з числа 10 і більш невирішених завдань, відкидаючи заздалегідь чітко встановлені неправильні відповіді, спробувати вгадати правильний, сподіваючись на УСПІХ.) Даний метод підрахунку підсумкового балу за виконаний блок тестового завдання, по невідмічених тестах, або по невірних відповідях дозволить більш глибоко діагностувати знання учнів.
Інші реферати на тему «Педагогіка, виховання»:
Організація та методика проведення уроку з теми: "Робота в комп’ютерній мережі"
Вивчення елементів стереометрії у курсі геометрії 9 класу
Основні методи та засоби професійного навчання інженерів-педагогів
Організація та методика проведення занять з технічної праці в 5-му класі
Особливості розвитку самостійності підлітків підліткового віку в навчально-виховному процесі
