Сторінка
5
(х-1)(х+4)<0; х-1=0; х=1. х+4=0; х=-4 – надалі виконуємо усно).
Відповідь: (-4; 1).
Якщо нерівність містить множники з від’ємними коефіцієнтами при невідомих, то винісши за дужки знак «
» і поділивши на
1 ліву та праву частину нерівності, приходимо до попереднього типу.
(х+3)(5-х)≤0; (х+3)(х-5)≥0;
Відповідь:
.
Якщо маємо строгу дробову нерівність з лінійними множниками, то розв’язуємо як у першому випадку при множенні.
Відповідь: (-1; 0).
Якщо дробова нерівність нестрога, то нулі чисельника включаємо, а нулі знаменника виключаємо.
Відповідь:
.
Якщо деякі лінійні множники в строгій нерівності стоять в парній степені, то розбиваючи на проміжки, їх пропускаємо, а далі діємо так само.
х2(х+1)(х-1)<0;
Відповідь:
.
Якщо ж нерівність нестрога, то поступаємо аналогічно, але до відповіді додаємо всі нулі множників парних степенів, якщо вони туди не ввійшли.
;
Відповідь:
, х=1.
Розв’яжіть вправи:
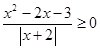
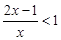
Розв’яжіть нерівності: а)
; б)
; в)
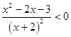
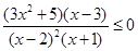
Розв’яжіть нерівності: а)
; б) х(х+7)(х+3)4≤0.
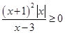
Розв’яжіть нерівності: а)
; б) (х2+7х)(х2-25)≤0.
Зауваження: Можна сформулювати загальне правило: На ОДЗ виразів, що входять в нерівність, знаходимо нулі множників, що входять у чисельник та знаменник та наносимо їх на числову пряму з урахуванням знаку нерівності, звертаючи увагу на той факт, що деякі нулі можуть зустрічатися декілька разів (дивись метод інтервалів при парних степенях множників) та нерівність може містити модуль як окремий множник (знак модуля і квадрата однаковий).
Робота з картками.
|
І варіант |
ІІ варіант |
ІІІ варіант |
|
Розв’язати нерівність х(2 – х) ≤ 0 |
Розв’язати нерівність (х – 1)(3 – х) ≥ 0 |
Розв’язати нерівність (х + 1)(1 – х) ≤ 0 |
|
Розв’язати нерівність |
Розв’язати нерівність |
Розв’язати нерівність |
|
Розв’язати нерівність |
Розв’язати нерівність |
Розв’язати нерівність |
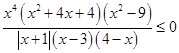
*Розв’яжіть нерівності: а)
; б)
; в)
.
За наявного часу.
ІV. Завдання додому.
Розв’язати вправи.
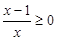
Розв’язати нерівність
.
Розв’язати нерівність
.
Розв’язати нерівність
.
Розв’язати нерівність
.
Розв’язати нерівність
.
Розв’язати нерівність
.
*Розв’язати нерівність
.
Розв’яжіть вправи на повторення:
Розв’язати рівняння:
Розв’язати рівняння:
Розв’язати рівняння
У цій роботі ми розглянули методику викладання теми "Раціональні нерівності" у середній школи.
Зміст лінії нерівностей розгортається протягом усього шкільного курсу математики. Враховуючи важливість і широту матеріалу цієї лінії, ще раз відзначимо доцільність на заключних етапах навчання пропонувати досить різноманітні і складні завдання, розраховані на активізацію найбільш істотних компонентів цієї лінії, основних понять і основних прийомів рішення, дослідження і обґрунтування завдань.
Сучасна педагогічна наука стверджує, що для продуктивного засвоєння учнями знань і для їхнього інтелектуального розвитку важливо встановлювати зв’язки, як між різними розділами курсу, так і між різними дисциплінами в цілому. Для чого потрібно вміти розв’язувати раціональні нерівності? Так, щоб за їх допомогою розв’язувати задачі. Уміння розв’язувати раціональні нерівності дозволить учням розв’язувати, здавалося б, складні нерівності просто, також учні зможуть використовувати уміння та навички при розв’язуванні ірраціональних, логарифмічних, показникових та тригонометричних нерівності.
Ми розглянули та ознайомитись з різноманітними методами та прийоми розв’язування раціональних нерівностей, а також з методикою викладання цього курсу. Нами було виконано ряд завдань:
Ми проаналізували методичну літературу з означеної теми;
Ми ознайомились з теоретичними відомостями, розглянули основні теореми та методичні факти, що стосуються даної теми;
Ми розглянули різноманітні методики вивчення раціональних нерівностей;
Ми навели низку прикладів розв’язування раціональних нерівностей різними методами.
Ми зробити розробку уроку алгебри.
Інші реферати на тему «Педагогіка, виховання»:
Формування у молодших школярів граматичних понять роду, числа і відмінка іменників
Підготовка майбутніх учителів до роботи із низькостатусними членами учнівського колективу як соціально-педагогічна проблема
Фактори формування колективу, їх значення для сучасної школи
Гуманізація організаційних основ освіти
Реалізація принципів педагогіки толерантності. як необхідна умова формування гуманістичних цінностей підростаючого покоління
