Сторінка
1
Дефект маси. Енергія зв'язку ядра
Дослідження показали, що маса ядра завжди менша за арифметичну суму мас протонів і нейтронів, що входять до його складу. Але відповідно до закону збереження енергії, будь-якій зміні маси має відповідати зміна енергії, тому утворення ядра повинно супроводжуватися виділенням енергії. З іншого боку, щоб розщепити ядро, треба витратити таку ж кількість енергії, яка виділяється при його утворенні. Енергія, необхідна для розщеплення ядра на окремі нуклони, називається енергією зв'язку ядра. Згідно з рівнянням Ейнштейна
Е = тс2, енергія зв'язку нуклонів у ядрі дорівнює
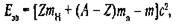
де тp , тn , тя — відповідно маси протона, нейтрона і ядра. Часто замість маси ядра користуються масою атома (т), тоді вираз набуває вигляду:
де mн — маса атома Гідрогену.
Енергія зв'язку нуклонів у ядрі в мільйони разів.перевищує енергію зв'язку атомів у молекулі, тому при хімічних перетвореннях речовин атомні ядра не змінюються.
Величина
Am = [Zmp + (A - Z)m] - тя називається дефектом маси ядра. На цю величину зменшується маса всіх нуклонів при утворенні з них атомного ядра.
Часто замість енергії зв'язку Е використовують питому енергію зв'язку
— енергію зв'язку, віднесену до одного нуклона. Ця фізична величина дорівнює тій роботі, яку потрібно зробити для видалення нуклона з ядра без надання йому кінетичної енергії. Чим більшим є значення
, тим стійкішим є ядро
. Найбільш стійкими є магічні ядра, у яких магічними є і число протонів, і число нейтронів. Вельми стійкими є ядра середньої частини таблиці Менделєєва. Важкі (А > 60) і легкі (А > 12) ядра менш стійкі. Це означає, що енергетично вигідними є такі процеси:
1) поділ важких ядер на легші;
2) злиття легких ядер у важчі.
Обидва процеси протікають із виділенням величезної кількості енергії, що дозволяє практично використовувати ці реакції (термоядерні, реакції поділу).
Ядерні сили
Ядерна взаємодія показує, що між нуклонами діють специфічні сили, які значно перевищують кулонівські сили відштовхування між протонами. їх не можна звести до жодного з типів сил класичної фізики (гравітаційних, електричних, магнітних). Ядерні сили зараховують до класу сильних взаємодій.
Існує кілька основних властивостей ядерних сил.
1. Ядерні сили — сили притягання.
2. Ядерні сили є короткодіючими. їхня дія виявляється тільки на відстанях приблизно 10-15 м. При збільшенні відстані між нуклонами ядерні сили швидко зменшуються до нуля, а при відстанях, менших за їхній радіус дії ((1,5- 2,2) 10-15 м), виявляються приблизно в 100 разів більшими за кулонівські сили, що діють між протонами на тій самій відстані.
3. Ядерні сили виявляють зарядову незалежність: притягання між двома нуклонами постійне і не залежить від зарядового стану нуклонів (протонного або нейтронного). Це означає, що ядерні сили мають неелектронну природу.
Зарядова незалежність ядерних сил помітна з порівняння енергій зв'язку в дзеркальних ядрах. Так називаються ядра, в яких однаковим є загальна кількість нуклонів, але кількість протонів в одному дорівнює кількості нейтронів в іншому. Наприклад, ядра гелію і тритію.
4. Ядерні сили мають властивість насичення, тобто кожен нуклон у ядрі взаємодіє тільки з обмеженим числом найближчих нуклонів. Насичення виявляється в тому, що питома енергія зв'язку нуклонів у ядрі при збільшенні кількості нуклонів залишається постійною. Практично повне насичення ядерних сил досягається в а-частинки, яка є дуже стійкою.
5. Ядерні сили залежать від взаємної орієнтації спінів взаємодіючих нуклонів. Наприклад, протон і нейтрон утворюють дейтрон (ядро ізотопу) тільки за умови рівнобіжної орієнтації їхніх спінів.
6. Ядерні сили не є центральними, тобто не діють по лінії, яка з'єднує центри взаємодіючих нуклонів.
Складність і неоднозначний характер ядерних сил, а також труднощі точного розв'язання рівнянь руху всіх нуклонів ядра (ядро з масовим числом А являє собою систему з А тіл) досі не дозволили розробити єдину струнку теорію атомного ядра.
Сильна взаємодія
У цьому рефераті розповідається про сильну взаємодію, яка, зокрема, забезпечує взаємодію атомного ядра. Атомні ядра складаються з важких елементарних частинок — нуклонів. Нуклони бувають двох типів: протони, що мають позитивний електричний заряд, і нейтрони, що не мають електричного заряду. Нижче ми перерахуємо основні властивості сил, що діють між ними, — ядерних сил.
Ядерні сили — це сили притягання, тому що вони утримують частинки усередині ядра. Однак при дуже тісному зближенні частинок усередині ядра ядерні сили починають відштовхувати їх одна від одної.
Ядерні сили — це не електричні сили, тому що вони діють не тільки між зарядженими протонами, але і між нейтронами, які не мають електричного заряду. Це також і не гравітаційні сили, які занадто малі для того, щоб забезпечити ті властивості, що мають атомні ядра.
Область дії ядерних сил мізерно мала. Радіус їхньої дії >> 1013 см. При великих відстанях між частинками ядерна взаємодія не виявляється, тому ядерні сили називають короткодіючими. їх короткодіючий характер пов'язаний з малим розміром ядер (< 10-12 см) і з тим, що при зближенні двох ядер (наприклад, двох протонів, які є ядрами атомів Гідрогену) на відстань приблизно 10-12 см діють тільки електромагнітні сили, і лише на відстанях приблизно 10-13 см над кулонівським відштовхуванням протонів починає переважати їхнє ядерне притягання.
1 2
