Сторінка
1
Поняття страхування та завдання статистики. Система показників страхової діяльності. Класифікація та групування, які використовує статистика страхової діяльності. Статистичні методи аналізу показників страхової діяльності
Поняття страхування та завдання статистики
Страхування — це система економічних відносин, яка включає утворення за рахунок підприємств, організацій та населення спеціального фонду коштів і використання його для відшкодування втрат, які сталися внаслідок стихійного лиха і інших несприятливих випадкових явищ, а також для надання допомоги громадянам при настанні в їхньому житті кризових ситуацій.
Примітка:
До того ж, учасником страхових відносин може бути особа, призначена для одержання страхової суми.
Примітка:
Страхування може також сприяти виникненню і розвитку ринку довгострокового позикового капіталу, необхідного для фінансування процесу створення нових підприємств і економічного розвитку в цілому.
Система показників страхової діяльності
Для характеристики страхової діяльності використовується така система показників: Абсолютні показники
• загальна чисельність страхових об'єктів (N);
• чисельність об'єктів, що постраждали внаслідок страхових випадків, і ризик внаслідок яких був застрахований (п);
• страхова сума всіх застрахованих об'єктів або страхова відповідальність. Це сума грошових коштів, в межах якої страхувальник
у відповідності з умовами страхування повинен зробити виплату в разі страхового випадку (S);
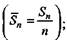
• страхова сума об'єктів, що постраждали (Sn);
• страховий платіж — плата за страхування, яка передбачена угодою страхування і розмір якої залежить від страхової суми і страхового тарифу (Р);
• сума виплат страхового відшкодування (w);
• страховий тариф або ставки страхового платежу з одиниці страхової суми у процентах або у фіксованому розмірі;
• кількість страхових випадків (пі). Відносні показники:
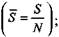
• середня страхова сума застрахованих об'єктів
• середня страхова сума об'єктів, що постраждали
• середній розмір виплаченого страхового відшкодування
• частка об'єктів, які постраждали
• показник виплат страхового відшкодування в розрахунку на
страхові платежі
• страхові платежі в розрахунку на страхову суму застрахованих
об'єктів
• показник збитковості страхової суми
Класифікація та групування, що їх використовує статистика страхової діяльності
У ході аналізу страхування застосовуються класифікація та групування за такими ознаками:
Аналіз показників статистики страхової справи
Одним з найважливіших показників статистики страхової справи є страхові тарифи, або ставки страхових платежів. Вони розраховуються таким чином, щоб забезпечити виплату страхувальником відшкодування, відшкодувати витрати страхувача та забезпечити прибутковість діяльності.
Страхові тарифи, або брутто-ставка (Сб), складаються з двох частин.
Перша — нетто-ставка (Сн), тобто та частина страхового тарифу, яка забезпечує виплату страхового відшкодування.
Друга — навантаження (Н), або частина страхового тарифу, яка забезпечує відшкодування витрат страхувальника і прибуток від його діяльності.
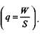
Нетто-ставка — це по суті планова збитковість страхової суми. Показник збитковості залежить від частки об'єктів, які постраждали, тобто вірогідності страхового випадку (— ), середнього розміру
страхового відшкодування (W) і середньої суми застрахованих об'єктів (S).
Звідси показник збитковості розраховується за формулою:
Планова нетто-ставка розраховується за формулою
де q — середня фактична збитковість страхової суми; t — коефіцієнт кратності відхилення, який залежить від заданої ймовірностіі:
при /? = 0,683 t = l,
при ρ = 0,954 t = 2,
при ρ = 0,997 ί = 3;
σ — середнє квадратичне відхилення.
Брутто-ставки розраховуються за формулою
де Η — частка навантаження в обсязі брутто-ставки, яка розраховується на основі даних про витрати страхової організації на її прибуток.
Коефіцієнт фінансової стабільності (Кф,,) страхової компанії розраховується за формулою
Для аналізу динаміки показників (коефіцієнтів) оцінки фінансового стану, зокрема рентабельності страхових платежів (К), використовується система індексів середніх величин. Коефіцієнт рентабельності страхових платежів (К) розраховується як відношення прибутку (П) до страхових платежів (СП).
Індекс змінного складу розраховується за формулою
де К — коефіцієнт рентабельності; d — частка страхових платежів окремих груп страхувальників у загальному їх обсязі.
Індекс показує, як змінилася середня рентабельність страхових платежів в цілому по страховій компанії.
Індекс фіксованого складу, який розраховується за формулою
показує, як змінилася середня рентабельність по компанії в цілому за рахунок динаміки рентабельності страхових платежів по групах страхувальників.
Індекс структурних зрушень розраховується за формулою
і показує, як змінилася середня рентабельність по компанії в цілому лише за рахунок зміни розподілу страхових платежів по групах страхувальників.
Фінансовий стан, стабільність страхової компанії оцінюється за допомогою показників (коефіцієнтів):
1 2
Інші реферати на тему «Менеджмент»:
Управління персоналом для всіх: терміни, моделі, технології
Фінанси і форми фінансових відносин в економіці
Управління портфелем фінансових інвестицій
Шляхи запобігання виникнення стресів в організації та подолання їх наслідків
Структура фінансового аналізу підприємства. Управління страховою справою
