Сторінка
1
Сутність операцій банку з векселями
Вексель — письмове боргове зобов'язання, укладене відповідно до закону, яке надає право його власнику після настання строку сплати (або достроково) стягти з особи, яка видала або акцептувала зобов'язання, обумовлену в ньому суму.
Особливості векселя
Вексель — це:
• цінний папір, що підтверджує факт надання позики або купівлі товарів у кредит під проценти;
• цінний папір на пред'явника, який має одержати вексельну суму. Таке ж право має індосамент;
• платіжний документ за поставлені товари або надані послуги;
• короткострокове боргове зобов'язання, відповідно до якого оплата має йти за поставкою товарів і наданням послуг;
• документ, укладений у суворій відповідності із законом.
Показники доходу та дохідності векселів
1. Абсолютний розмір доходу за векселем
2. Дохідність векселя: - за весь строк позики
- за рік (за формулою звичайних процентів)
де Др — абсолютний розмір доходу за векселем за рік; t — кількість днів обороту векселя.
3. Дохід покупця (продавця) при купівлі векселів на ринку цінних паперів до закінчення строку сплати
де Чр — ринкова ставка на момент угоди за борговими зобов'язаннями тієї терміновості, яка залишилася до сплати векселя; Цн— номінальна ціна векселя; f t — кількість днів від дати угоди до дати сплати векселя.
4. Абсолютний розмір доходу власника векселя, якщо він розміщений за номіналом
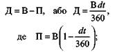
5. Дисконт на користь банку
де В — вексельна сума (нарощена вартість на момент сплати векселя); d— облікова ставка; t — кількість днів сплати векселя.
Реорганізація і ліквідація акціонерного товариства
Реорганізація AT здійснюється на підставі положення закону про AT і відповідно до Цивільного кодексу України. Рішення про реорганізацію товариства приймають загальні збори акціонерів трьома чвертями голосів акціонерів — власників голосуючих акцій. У випадках, передбачених законодавством, таке рішення може бути прийнято уповноваженим державним органом чи судом.
Реорганізація AT може бути проведена у таких формах: злиття, приєднання, поділ, виокремлення і перетворення організаційно-правової форми товариства.
За будь-якої форми реорганізації забороняється обмін раніше випущених AT звичайних акцій і привілейованих акцій, конвертованих у звичайні чи інші цінні папери на інше майно чи майнові права. Ця вимога не відноситься до акцій знову створюваного в результаті реорганізації товариства.
За будь-якої реорганізації AT вносяться відповідні зміни у статут і державний реєстр. Права й обов'язки AT переходять до правонаступника.
При реорганізації товариства дотримуються права його кредиторів. З цією метою кредитори сповіщаються про реорганізацію не пізніше ЗО днів з моменту ухвалення цього рішення. Після повідомлення про реорганізацію у формі злиття, приєднання чи перетворення кредитори вправі не пізніше наступних ЗО днів пред'явити AT вимоги про припинення чи дострокове виконання зобов'язань і відшкодування збитків. Аналогічні вимоги кредитори вправі пред'явити
товариству в термін не пізніше 60 днів з дати повідомлення про реорганізацію у формі поділу чи виділення.
Злиття і приєднання AT проходить шляхом об'єднання їх капіталів, консолідації балансів, об'єднання контрольних пакетів акцій з наступною їх конвертацією, тобто заміною акціями й іншими цінними паперами знову створеного товариства.
Злиття товариств відбувається на підставі ув'язненого між ними договору. У договорі відбиваються порядок обміну акцій й інших цінних паперів, їх номінальна вартість і категорії, особливі права окремих акціонерів й інші умови.
Проект договору про злиття, схвалений радами директорів усіх товариств і антимонопольним органом, повинен бути прийнятий на загальних зборах акціонерів кожного товариства окремо. На спільних загальних зборах акціонерів товариств, що беруть участь у злитті, затверджується статут і вибирається рада директорів знову утвореного товариства. У такому ж порядку відбувається оформлення приєднання одного чи кількох товариств до іншого товариства. Якщо при злитті товариств усі права й обов'язки кожного з них переходять до новоутвореного товариства, то при приєднанні правонаступником буде те товариство, до якого приєднується інше товариство.
Повідомлення про припинення діяльності товариств, що зливаються чи приєднуються, надходить в органи, що реєструють, з додатком договору і копії свідоцтва про державну реєстрацію товариств. Товариства, що припинили свою діяльність, виключаються органами, що реєструють, з державного реєстру з дня реєстрації новоствореного AT.
Створення на основі одного товариства нових самостійних товариств здійснюється шляхом поділу балансу і капіталу. Реорганізоване товариство ліквідується, а його права й обов'язки переходять до но-востворених товариств. При виділенні з існуючого AT підрозділів і утворенні нового товариства зі своїм балансом і капіталом колишнє товариство продовжує свою діяльність з відповідними змінами в активах і пасивах.
Загальні збори акціонерів, що ухвалили рішення про поділ чи виділення товариств, визначають порядок обміну старих акцій й інших цінних паперів на нові, визначають також співвідношення категорій і номінальних вартостей. При цьому права акціонерів на володіння акціями однієї категорії повинні бути однаковими. Не допускається
применшенням обмеження прав акціонерів товариства, що реорганізується при обміні старих акцій на нові.
Якщо поділ чи виокремлення товариств відбувається на підставі рішення антимонопольного органу, будь-який акціонер товариства, що реорганізується, зобов'язаний обміняти всі приналежні йому акції на акції одного із новостворюваних товариств.
При поділі товариства усі права й обов'язки переходять до новостворюваних товариств. При цьому можуть переходити не тільки майнові, але й немайнові права (права на фірмове найменування, на користування товарним знаком тощо).
При відокремлені новоствореному товариству передаються не всі, а частина прав і обов'язків товариства, що реорганізується і продовжує функціонувати як юридична особа.
Новостворювані шляхом поділу чи видокремлення товариства піддягають державній реєстрації.
Перетворення AT відбувається шляхом зміни організаційно-правової форми. Акціонерне товариство може бути перетворене в товариство з обмеженою відповідальністю чи виробничий кооператив. Таке перетворення здійснюється за рішенням загальних зборів акціонерів і жодним чином не впливає на розмір часток статутного капіталу, що належать кожному акціонеру. Права окремих акціонерів реформованого товариства, зафіксовані в установчих документах, не можуть бути применшені чи обмежені без їхньої згоди.
1 2
