Сторінка
2
Нормативні параметри оцінювання конкурентоспроможності розраховують альтернативним методом [12, с 52]. Для цього застосовують показник, який має лише два значення: 1 або 0. Якщо товар відповідає нормі (наприклад, вимогам безпеки), цей показник дорівнює одиниці, а якщо не відповідає — нулю. Груповий показник сукупності нормативних параметрів дорівнює добутку одиничних показників кожного з них:
де / - груповий показник нормативних параметрів; п - кількість нормативних параметрів, які підлягають оцінюванню; О . -одиничний показник г-го параметра.
Нульове значення цього індексу свідчить про неконкурентоспроможність товару на ринку, тому якщо хоча б один показник параметра дорівнюватиме нулю, продовжувати оцінювати його конкурентоспроможність недоцільно.
Визначаючи сукупність порівнянних параметрів конкурентоспроможності товару, виходять з того, що одні показники характеризують споживчі властивості товару (споживчу цінність), а інші оцінюють його економічні (вартісні) показники. Споживчі властивості товару, що формують його корисний ефект, мають здебільшого суто технічні характеристики. Останні випливають з конструктивних особливостей виробу (показників призначення, надійності, безпеки, стандартизації), а також з його дизайну (естетика, ергономічні властивості, упаковка). Множинність показників споживчих властивостей товару зумовлює необхідність встановлення ієрархії розглядуваних параметрів. Зрозуміло, на-самперед вивчають властивості, які мають найбільшу значущість (вагу) для споживача. Визначення значущості кожного параметра доручають групі експертів, яку спеціально створюють на підприємстві. Обов’язковими вимогами до членів таких груп є компетентність, заінтересованість і об’єктивність. У своїй діяльності експертні групи широко використовують оцінки в балах. Для отримання достовірних результатів керівники груп мають вживати відповідних заходів щодо зменшення суб’єктивізму, який завжди притаманний експертному методу. З цією метою виконують кілька етапів опитування. Спочатку, наприклад, експерти фіксують коефіцієнти значущості незалежно один від одного. Після короткочасного обговорення і обгрунтування зроблених оцінок починається другий етап опитування, коли експерти знову незалежно один від одного встановлюють певні коефіцієнти для кожного параметра. Кількість етапів опитування залежить від компетентності експертів. Для попередніх оцінок достатню точність забезпечують уже два-три етапи. Експерти визначають коефіцієнти значущості
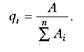
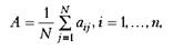
параметрів, які оцінюють у балах або в частках одиниці (дод. 13). Для оцінювання застосовують 5-10-бальну шкалу. Здобуті результати використовують для розрахунку середнього арифметичного коефіцієнтів значущості кожного параметра за формулою
де N - кількість експертів; aij - параметри вагомості г-го показника, визначені j-м експертом; n - кількість параметрів товару. Нормовані коефіцієнти значущості обчислюють за формулою
При цьому задовольняється вимога ∑ qi = 1 qi > 0.
Груповий показник Iт п, що характеризує відповідність технічних параметрів виробу ринковим потребам, визначають за допомогою одиничних показників якості з урахуванням значущості кожного з них за формулою
де Pi - одиничний показник г-го технічного параметра (надійність, потужність, енергомісткість); Qi - питома вага г-го пара-метра в загальній сукупності; і - кількість оцінюваних пара-метрів.
Аналогічні розрахунки виконують також щодо товару-конкурента (товару-еталона). Порівняння двох групових показників дає змогу визначити конкурентоспроможність товару стосовно товару-конкурента за технічними параметрами. Такі розрахунки виконують за формулою
де Кт п - показник конкурентоспроможності за технічними пара-метрами; IТІ[, IТІ[ - групові показники технічних параметрів порівнюваних товарів.
У такий самий спосіб обчислюють третю групу параметрів товару. Це сукупність вартісних параметрів товару, яка визначає
його основні економічні властивості [12, с 55]. Для покупця - це витрати на придбання і використання виробу за весь час його ек-сплуатації. До вартісних параметрів належать ціна виробу Z1, витрати на його транспортування Z2, монтаж Z3, навчання персоналу Z4, експлуатацію Z5, ремонт Z6, технічне обслуговування Z7, податки Z8, страхові внески Z9 та ін. У сукупності ці витрати ста-новлять ціну споживання С - суму коштів, необхідних спожива-чу на весь період використання товару. Отже,
де п - кількість окремих витрат.
Визначають сукупність економічних параметрів оцінюваного товару, оцінюють їх і “зважують” з тією самою точністю, що й технічні параметри товару-зразка.
Груповий показник конкурентоспроможності за економічними параметрами (Іе п) обчислюють за формулою
де Zt - економічний параметр г-го виду виробу.
Інтегральний показник (J) конкурентоспроможності товару визначається за формулою
J — JvTn : -^е.П.
Якщо J> 1, то аналізований виріб конкурентоспроможніший щодо товару-еталона, якщо J < 1 - він програватиме товару-конкуренту.
Для прийняття остаточного рішення щодо виходу з товаром на цільовий ринок рекомендується користуватися даними табл. 8.1
Інші реферати на тему «Маркетинг, товарознавство»:
Процедури заборони (зупинення та вилучення) лікарських засобів на території України
Сутність, структура і формування маркетингової товарної політики
Маркетингова політика розподілу товарів виробничого призначення
Сегментування промислового ринку
Особливості стимулювання збуту товарів виробничого призначення
