Сторінка
4
де — прямі затрати без вартості насіння, грн/га.
Сумарні витрати дорівнюють сумі прямих затрат і затрат по управлінню виробництвом.
Ип = П+Зуп, грн/га. (50)
Поділивши сумарні витрати на урожайність сільськогосподарської культури знаходять собівартість виробництва основної продукції
де У — урожайність культури, т/га.
За умови збирання побічної продукції (гички, листостеблової маси, соломи) необхідно визначити урожайність умовної продукції:
Уум = У+К•Упоб, т/га (52)
де К — коефіцієнт переведення побічної продукції в основну;
Упоб — урожайність побічної продукції, грн/га.
Собівартість виробництва основної продукції дорівнює:
Витрати виробництва на основну продукцію складають:
Витрати виробництва на побічну продукцію дорівнюють:
Собівартість виробництва побічної продукції:
Вартість валової продукції знайдемо за такою формулою:
Св = Вп•Сп, грн. (57)
де Вп — валова продукція, т;
Сп — ціна реалізації продукції, грн/т.
Валова продукція визначається множенням урожайності основної продукції на площу її вирощування:
де У — урожайність продукції, т;
S — посівна площа, га.
Основні капіталовкладення на виробництво продукції дорівнюють питомим капіталовкладенням, помноженим на посівну площу:
Прибуток (чистий доход) визначаємо як різницю між вартістю валової продукції і собівартістю.
Собівартість всієї продукції дорівнює добутку собівартості одиниці продукції на її валовий збір.
Рентабельність виробництва продукції визначаємо відношенням умовного чистого доходу (прибутку) до витрат виробництва (собівартості)
Капіталовіддача визначається як відношення вартості валової продукції до капіталовкладень:
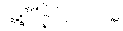
Витрати робочого часу при виконанні операцій визначаються за формулою:
Тоді затрати праці, коштів тощо на гектар вирощуваної культури по всіх операціях технологічного процесу будуть рівні:
де Sk — посівна площа, га.
До задачі економічного розрахунку входить визначення раціональної площі вирощування сільськогосподарських культур, яка забезпечить ефективне використання комплексів машин (за даними професора В.С. Крамарева, рекомендоване значення коефіцієнта використання становить 0,7 .0,9).
За розрахунками, проведеними на кафедрі експлуатації техніки та інженерного менеджменту Національного аграрного університету, раціональна (мінімально необхідна) площа вирощування кожної сільськогосподарської культури в рослинництві повинна орієнтовно дорівнювати: в зоні Полісся — 130 га, Лісостепу — 150, Степу — 170 га.
Обгрунтування набору техніки та її ефективне використання на сучасному рівні сільськогосподарського виробництва необхідно розглядати окремо для кожного господарства з його природно-кліматичними умовами у єдиному системному взаємозв’язку: машина — агрегат — комплекс машин — машинно-тракторний парк. Тому питання визначення складу комплексів машин і їх використання у структурі загального машинного парку має велике значення.
Технологічний процес вирощування, збирання та переробки сільськогосподарських культур складається із основних, допоміжних і суміжних операцій. Основні операції — це провідні операції закінченого циклу робіт.
Допоміжні операції — це операції без виконання яких не можуть виконуватись основні операції.
Суміжні операції — це операції, які не впливають на протікання технологічного процесу, але їх виконання поліпшує технологічний процес.
Основні, допоміжні та суміжні операції технологічного процесу виконуються різними за складом машинними агрегатами, які мають різну продуктивність. Тому тривалість виконання операцій залежить від складу агрегатів, їх кількості та продуктивності.
Основні операції циклу взаємозв’язаних робіт визначають тривалість виконання циклу.
Тривалість виконання основної операції циклу визначається із залежності:
а кількість агрегатів для виконання основної операції становитиме:
Тривалість виконання допоміжної операції повинна бути рівною тривалості виконання основної операції, тобто:
тоді кількість агрегатів для виконання допоміжної операції становитиме:
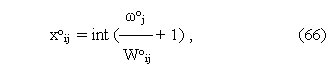
Тривалість виконання суміжної операції не може перевищувати тривалості основної операції, тобто:
Тоді кількість агрегатів, які необхідно мати для виконання суміжної операції буде:
де хоij, хдij, хсij — кількість агрегатів, необхідних для виконання відповідно основної, допоміжної та суміжної операції;
Інші реферати на тему «Географія економічна»:
Досвід створення серії карт «комплекс природоохоронних заходів, що забезпечує екологічне оздоровлення басейну Дніпра» на основі застосування геоінформаційних технологій
Хвороби сільськогосподарських культур
Використання методів експериментальної гідрохімії і геоінформаційних технологій для оцінки стану та прогнозування якості поверхневих вод
Охорона навколишнього природного середовища у фрн та стан українсько-німецького співробітництва у цій сфері
Басейнові історико-динамічні морфолітосистеми: палеогідродинамічні реконструкції і екологічні експертизи водогосподарських проектів
