Сторінка
1
Вартість капіталу від облігації нижча від вартості капіталу від акцій, її визначають інвестори, які оцінюють ризики, пов'язані з платоспроможністю фірми та оцінкою можливості невиконання обіцяних платежів. Як правило, облігації випускаються з номінальною ціною (основна сума боргу), за якою будуть погашені на певну дату. Що триваліший обіг облігації, то вище буде вартість капіталу чи відсоток, що сплачується власнику. Вартість капіталу може змінюватись залежно від рівня процентних ставок на ринку: якщо ринкові ставки високі, то й вартість капіталу від щойно випущених облігацій буде вищою, ніж тоді, коли ринкові ставки низькі. Частково вартість капіталу від облігації визначається експертними компаніями, які оцінюють фінансовий стан та перспективи розвитку компанії і роблять висновки щодо якості облігацій. Вартість капіталу (дохід) від облігації встановлюють інвестиційні банкіри, які беруть на себе відповідальність за розміщення емісії:
де С t — річний купон на облігацію; Vb — розмір боргу.
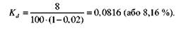
Процес випуску облігацій потребує витрат, пов'язаних з реєстрацією емісії, пошуком інвесторів, розміщенням випуску. Зазвичай такі витрати (Е) становлять близько 2-5 % номінальної вартості. Тому при емісії облігації номінальною вартістю 100 грн, фактично компанія отримає (з урахуванням витрат на випуск), 100 · (1 - 0,02) = 98 грн. Вартість капіталу від такої облігації з фіксованим відсотком 8 %:
Якщо розраховується вартість капіталу від раніше випущеної облігації, то розмір основного боргу не корегується щодо витрат на випуск.
Оскільки на облігацію сплачується інтерес, що утримується з доходу фірми до оподаткування, вартість капіталу від випуску облігації має бути скорегована з урахуванням цієї податкової знижки. Так, при податковій ставці ЗО % наведена у прикладі облігація матиме таку справжню вартість капіталу: 8,16 · (1 - 0,30) = 5,71 %. Саме податкова знижка призводить до того, що вартість капіталу від облігації, як правило, менша від вартості фінансування за іншими методами залучення капіталу.
Випускаючи облігації, фірма зобов'язується сплачувати фіксовані платежі і своєчасно погасити борг, що може виявитися небезпечним при зменшенні прибутків. Заборгованість фірми підвищує ризик неплатоспроможності й призводить до ускладнення розміщення нових емісій та підвищення вартості капіталу, тому фінансування за рахунок боргових зобов'язань вигідне лише до певної межі.
Вартість капіталу від акцій
Прагнучи досягти оптимальної структури капіталу, фірма намагається здійснювати фінансування за умов як найсприятливішої вартості капіталу з використанням можливостей різних видів цінних паперів.
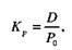
Оскільки на привілейовану акцію зазвичай сплачується фіксований дивіденд, розрахунок вартості капіталу від неї подібний до розрахунку вартості капіталу від облігації:
де D — розмір дивіденду; Р^ — поточна ринкова ціна акції.
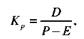
Для щойно випущеної акції, як і для облігації, потрібно зробити поправку з урахуванням витрат на випуск (Е):
де Ρ—поточна ціна привілейованого капіталу; Е—витрати на емісію.
Вартість капіталу від звичайної акції виводять з трьох чинників: ціни акції, дивіденду та темпу приросту дивідендів. Отже,
де Z>, — розмір дивіденду майбутнього року; G — темпи приросту дивідендів.
Очікуваний розмір дивіденду розраховується як поточний розмір дивіденду з урахуванням темпу приросту. Наприклад, </, = </0(1 + g) — розмір дивіденду майбутнього року, аг = </0(1 + g)2 — розмір дивіденду через 2 роки і т. д. Так, акція з поточною ринковою ціною (Р0) 5 грн, розміром дивіденду базового періоду (Z>0) 0,4 грн та темпом приросту дивідендів (G) 5 % матиме таку вартість капіталу:
Вартість капіталу від звичайної акції може змінитися в майбутньому. Наприклад, вищі темпи приросту дивідендів дадуть більші дивіденди, відповідно збільшиться ціна акції і зменшиться вартість капіталу. Зниження темпів приросту дивідендів призведе до зниження ціни акції і відповідно збільшення вартості капіталу. Звичайні акції є найдорожчим джерелом фінансування серед усіх довгострокових джерел.
Середньозважена вартість капіталу (СЗВК)
Середньозважена вартість капіталу (Weighted average cost of capital— WACC) є одиницею вартості сукупного капіталу фірми. Вона розраховується за процентними частками складових, що входять у структуру капіталу фірми. Щоб визначити СЗВК, треба розрахувати частку кожної інвестиції і помножити на дохід окремої інвестиції. Підсумувавши вартості капіталу на частку дістанемо СЗВК. Для розрахунків можна скористатися балансовою вартістю, відображеною в бухгалтерських розрахунках, що використовують номінальні значення вартості цінних паперів (тобто наводять минулі умови). Але здебільшого частки окремих джерел капіталу розраховуються за ринковими цінами і відбивають поточні ринкові умови з ураху-
ванням впливу змінних обставин ринку. Так, ціна звичайної акції, як правило, перевищує її балансову вартість, що збільшує вплив частки цієї складової капіталу порівняно з іншими (привілейованими акціями чи облігаціями).
Приклад: Вихідні дані наведено в таблиці.
| Джерело фінансування | Сума, грн | Вартість капіталу, % | Частка джерела в загальному фінансуванні | Вартість капіталу на частку, % |
| Облігації | 120000 | 9 | 0,0714 | 0,643 |
| Привілейовані акції | 60000 | 12 | 0,0357 | 0,428 |
| Звичайні акції | 1500000 | 13,5 | 0,893 | 12,055 |
| Разом | 1680000 | 13,13 |
