Сторінка
1
Абсолютні величини
Абсолютні величини — це форма кількісного відображення статистичних показників, які безпосередньо характеризують абсолютні розміри соціально-економічних явищ, їх ознаки в одиницях площі, маси, часу, вартості тощо.
Абсолютні статистичні величини завжди є іменованими числами і виражаються в певних одиницях:
• натуральні (тонна, кілометр) — відображають фізичні властивості явищ;
• умовно-натуральні (умовне паливо) — використовують тоді, коли потрібно звести кілька різновидів одного явища;
• трудові (людино-години, людино-дні) — застосовують для визначення обсягу трудових ресурсів чи затрат праці на виробництво продукції, для оцінки трудомісткості продукції;
• комплексні — іноді використовують комбіновані натуральні вимірники: споживання електроенергії за годину (кіловат-година), перевезення вантажу на певну відстань (кілотонна)тощо;
• вартісні — використовують для узагальнення значення облікових даних на рівні галузей чи економіки загалом (гривня, долар тощо).
Відносні величини
Відносна величина (у статистиці) є мірою співвідношення статистичних показників і відображає відносні розміри соціально-економічних явищ. Отримують її шляхом ділення однієї величини на іншу.
Відповідно до аналітичних функцій відносні величини в аналіз і класифікуються як відношення однойменних або різнойменних показників.
Розглянемо відносні показники, які використовують у фінансово-господарській сфері діяльності.
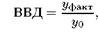
1. Відносна величина динаміки (ВВД). Цей показник використовують для аналізу інтенсивності розвитку і визначають як відношення фактично досягнутого рівня до базисного:
де yакт, yо — рівень відповідно фактично досягнутий і базисний.
Цей показник показує, у скільки разів поточний рівень перевищує попередній (базисний) або яку частку від останнього становить. Якщо цей показник виражений кратним відношенням, його називають коефіцієнтом зростання, а помноживши його на 100 %, одержують темп зростання.
2. Відносна величина планового завдання (KП.3):
де yл — плановий рівень показника; yо — фактичний рівень базисного (попереднього періоду) показника.
Цей показник показує, у скільки разів планове значення того чи іншого показника перевищує фактичне його значення в базисному періоді.
3. Відносна величина виконання плану (KВшП) (виконання договірних зобов'язань):
Цей показник показує, у скільки разів фактичне значення показника більше або менше за його планове значення.
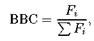
4. Відносна величина структури (ВВС). Цей показник застосовують для аналізу структури сукупності і визначають як відношення частки до цілого в межах однієї сукупності:
де Fi — частка; S Fi — сума часток у межах сукупності.
5. Відносні величини координації. Характеризують співвідношення розмірів окремих частин однієї сукупності, одну з яких беруть за базу порівняння, і показують, скільки частин однієї частини сукупності припадає на 1, 100, 1000, . одиниць іншої частини. Наприклад, скільки жінок припадає на 100 чоловіків або скільки гривень доходу банку від кредитної діяльності припадає на 1 гривню доходу від операцій з цінними паперами.
6. Відносні величини порівняння зі стандартом (ВВПС) — порівняння фактичних значень показника з певним еталоном — нормативом, стандартом, оптимальним рівнем.
7. Відносні величини просторових порівнянь (ВВПП) — просторові, територіальні порівняння, що характеризують співвідношення однойменних показників, які належать до різних об'єктів або територій.
8. Відносні величини інтенсивності (ВВІ). Ці показники характеризують ступінь розвитку (поширення) явища або процесу в певному середовищі; розраховують їх як співвідношення розмірів двох якісно різних явищ, наприклад співвідношення кількості вкладників коштів до банку і середньорічної чисельності населення.
Відносні величини можуть бути іменованими.
Взаємозв'язок абсолютних і відносних величин
Важливою умовою статистичного аналізу є комплексне використання абсолютних і відносних величин.
Статистичний аналіз, що розкриває зміст і значення показників, поглиблюючи уявлення про предмет дослідження і властиві йому закономірності, виконують у двох напрямках.
1. Замість ізольованих характеристик окремих сторін предмета розглядають зв'язки і відношення, виявляють чинники, які впливають на рівень і варіацію показників, оцінюють ефекти їх впливу.
2. Вивчають динаміку показників, напрямок і швидкість змін, характер і рушійні сили розвитку.
Комплексне використання абсолютних і відносних величин поглиблює статистичний аналіз і уможливлює багатоцільове використання його результатів.
Список використаноїлітератури
1. Банківська статистика: Опорний конспект лекцій / А. В. Головач, В. Б. Захожай, Н. А. Головач. — К.: МАУП, 1999.
1 2
Інші реферати на тему «Фінанси»:
Мета, зміст і завдання фінансового аналізу
Вплив акцизного оподаткування на ділову активність підприємств на ринку ЄС (на прикладі підприємств харчової промисловості)
Податкова політика України. Реформування податкової політики
Оптимізація активно-пасивних операцій комерційного банку методом імовірнісних автоматів
Проблеми фінансової децентралізації в Україні
