Сторінка
1
Поняття рядів динаміки
Аналіз рядів динаміки — найефективніший спосіб оцінки тенденцій і закономірностей розвитку явищ. Основними елементами динамічного ряду є рівень (окремий показник ряду) і час, до якого належить відповідний рівень. Рівнями можуть бути абсолютні, середні і відносні величини.
Розрахунок характеристик динаміки ґрунтується на порівнянні рівнів ряду. При порівнянні певної множини послідовних рядів база порівняння може бути постійною чи змінною. За постійну базу беруть або початковий рівень ряду, або рівень, який вважається вихідним для розвитку явища, що вивчається.
Характеристики динаміки, обчислені відносно постійної бази, називають базисними. Якщо кожний рівень ряду yt порівнюється з попереднім yі-і, характеристики динаміки називають ланцюговими.
Види рядів динаміки: абсолютних, відносних і середніх величин.
Моментні та періодичні ряди динаміки
Розрізняють такі види рядів динаміки:
• одновимірні — характеризують зміну одного показника;
• багатовимірні — характеризують зміну двох і більше показників;
• паралельні — характеризують динаміку одного показника щодо різних об'єктів або різних показників щодо одного об'єкта;
• взаємопов'язаних показників.
Зв'язок між показниками багатовимірного динамічного ряду може бути функціональний або кореляційний.
Залежно від статистичної природи показника (рівня) розрізняють динамічні ряди первинні та похідні, ряди абсолютних, середніхі відносних величин.
За ознакою часу ряди динаміки поділяють на такі:
• моментні — рівень фіксує стан явища на певний момент часу (t);
• інтервальні — рівень є агрегованим результатом процесу і залежить від тривалості часового інтервалу.
За повнотою часу, який відображається в рядах динаміки, розрізняють повні та неповні ряди. У повних рядах дати або періоди фіксуються один за одним з рівними інтервалами. У неповних рядах у послідовності часу рівний інтервал не допускається.
Методи обчислення середніх рівнів динамічних рядів залежать від їх виду.
Середній рівень інтервального ряду динаміки обчислюють за середньою арифметичною простою:
де n — кількість рівнів ряду.
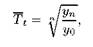
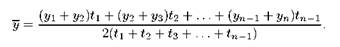
Середній рівень повного моментного ряду обчислюють за середньою хронологічною моментного динамічного ряду:
Середній рівень неповного моментного ряду визначають за формулою
Аналітичні показники ряду динаміки і способи їх обчислення
Для опису рядів динаміки використовують систему взаємопов'язаних характеристик: абсолютний приріст, темп зростання, темп приросту і абсолютне значення одного процента приросту. Обчислення характеристик ґрунтується на порівнянні рівнів ряду.
Залежно від бази порівняння кожну з наведених характеристик поділяють на базисну та ланцюгову. Середню динаміку ряду за весь період часу описують середніми цих характеристик.
При порівнянні якогось певного рівня з попереднім (база порівняння змінна) отримані показники називають ланцюговими.
Якщо всі рівні ряду динаміки порівнюють з одним і тим самим рівнем (база порівняння стала), то отримані показники називають базисними.
Сума послідовних ланцюгових абсолютних приростів дорівнює базисному за весь період, тобто кінцевому базисному приросту:
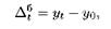
Абсолютний приріст (At) характеризує збільшення (зменшення) рівня ряду за певний період в абсолютному вираженні: Ланцюговий приріст
де y t — рівень щодо конкретного моменту або інтервалу часу t; y t-i -рівень щодо попереднього моменту або інтервалу часу.Базисний приріст
де y о — базисний рівень.
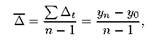
Середній абсолютний приріст (абсолютна швидкість динаміки) обчислюють діленням загального приросту за весь період на величину цього періоду у відповідних одиницях часу (рік, квартал, місяць та ін.):
де n — кількість ланцюгових абсолютних приростів; yn — кінцевий рівень ряду.
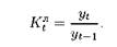
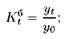
Коефіцієнт зростання (Kt) показує, у скільки разів рівень yt більший (менший) від рівня, узятого за базу порівняння (становить кратне відношення рівнів):базисний
ланцюговий
Якщо коефіцієнт зростання виражається у процентах, його називають темпом зростання (Tt) і обчислюють за формулою
Темп приросту (Tnpt) — це відношення абсолютного приросту до початкового або попереднього (базисного), виражене у процентах:
базисний
ланцюговий
Темп приросту можна обчислити відніманням 100 % від відповідного темпу зростання:
Середній темп зростання — це темп, при обчисленні якого враховують правило складних процентів, за якими змінюється відносна швидкість динаміки (нагромаджується приріст на приріст).Середній темп зростання розраховують за формулою
де n — кількість темпів зростання за однакові інтервали часу.
Якщо абсолютні дані динамічного ряду відсутні, то середній темп зростання (T) можна обчислити за ланцюговими коефіцієнтами зростання:
Інші реферати на тему «Фінанси»:
Основи кошторисного планування
Зміст та значення фінансової політики як складової частини економічної політики держави
Фінансові особливості діяльності транснаціональних корпорацій
Економіко-правові аспекти санації та банкрутства підприємств
Операції з корпоративними цінними паперами на фондовому ринку
