Сторінка
1
Сутність статистичної середньої
Середня — це узагальнююча кількісна характеристика ознаки у статистичній сукупності. Вона виражає характерну типову величину варіюючої ознаки одиниць сукупності, яка утворюється в певних умовах місця і часу під впливом сукупності чинників.
Види середніх і способи їх обчислення
Структурні середні величини
У ряді розподілу крім типового рівня ознаки, характеристикою якого є середня величина, важливе значення мають структурні середні величини, які характеризують структуру аналізованих сукупностей, — мода (Мо) і медіана (Me).
Мода (Мо) — варіанта, що найчастіше повторюється в ряді розподілу і розраховується за формулою
де Xмо — нижня межа модального інтервалу; h — величина модального інтервалу; fм0 — частота модального інтервалу; fмо-1 ~~ частота попереднього інтервалу; fмо+1 ~~ частота інтервалу, наступного замодальним.
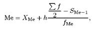
Медіана (Me) — варіанта, що ділить ранжований ряд на дві рівнічастини і розраховується за формулою
Основні показники варіації
Розмах варіації (R) — це різниця між найбільшим і найменшимзначеннями ознаки:
Середнє лінійне відхилення (l) (розраховують без урахування знаків):
де x — індивідуальне значення ознаки (варіанта); x — середнє значення ознаки; n — кількість варіант; f — частота.
Середній квадрат відхилення (σ2) — дисперсія:
Середнє квадратичне відхилення (σ):
Коефіцієнт варіації (використовують при порівнюванні варіації однієї і тієї ж ознаки в різних сукупностях):
Список використаноїлітератури
1. Банківська статистика: Опорний конспект лекцій / А. В. Головач, В. Б. Захожай, Н. А. Головач. — К.: МАУП, 1999.
2. Бланк И. А. Инвестиционный менеджмент. — К. 1995.
3. Бланк И. А. Основы финансового менеджмента: В 2 т. — К.: НИКА-Центр, 1999.
4. Грабовецький Б. Є. Методичні вказівки до вивчення курсу "Загальна теорія статистики". — Вінниця, 1999.
5. Захожай В. В., Шепітко Г. Ф. Статистика ринку товарів та послуг. — К.: Вид-во УФІМВ, 1998.
6. Збірник задач зі статистики / За ред. А. В. Головача, А. М. Єриної, О. В. Козирева, С. С. Герасименка. — К.: Вища шк., 1994.
7. Єріна А. М. Статистичне моделювання та прогнозування: Навч. посіб. — К.: Вид-во КНЕУ, 2001.
8. Ерина А. М., Пальян 3. О. Теория статистики: Практикум. — К.: Т-во "Знання", 2001.
Інші реферати на тему «Фінанси»:
Визначення вартості грошей у часі та її використання у фінансових розрахунках
Міжнародний кредит як економічна категорія
Методи аналізу взаємозв'язків
Фінансова стратегія підприємства та основні етапи її реалізації
Необхідність фінансів, їх сутність та зміст. Фінансовий контроль, його суть, завдання, принципи. Бюджетний процес: порядок складання, розгляд та затвердження бюджету
