Сторінка
1
Сутність і функції ощадної справи
Вклад — це грошова сума, внесена в банк для зберігання на певних умовах з метою отримання прибутку.
Основні операції з акумуляції грошових нагромаджень населення виконують установи ощадного банку.
Ощадна справа вивчає:
• розвиток і розміщення установ ощадного банку;
• чисельність і склад вкладників;
• розмір і динаміку заощаджень.
До завдань статистики ощадної справи належать:
• забезпечення інформацією про стан і розвиток кредиту;
• залучення в національно-господарський оборот грошових нагромаджень населення.
Система показників ощадних банків
До найважливіших показників статистики ощадної справи належать:
• кількість установ ощадного банку;
• чисельність і склад вкладників;
• сума внесених вкладів.
Для характеристики розвитку ощадної справи обчислюють динаміку цих показників.
Основні середні показники статистики ощадної справи:
• середній розмір вкладу на одного вкладника;
• середня сума вкладу на одну установу ощадного банку;
• середній строк зберігання вкладів.
Відносні показники інтенсивності визначають у розрахунку на1000 або 10000 осіб. У статистиці ощадної справи найчастіше застосовують такі показники інтенсивності:
• кількість вкладників на певну кількість осіб;
• кількість ощадних установ на певну кількість населення, яка припадає на одну установу ощадного банку.
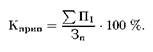
Крім того, розраховують такі показники:1. Середній розмір вкладу:
де a — залишки вкладів; N — чисельність вкладників (приймаютьтакою, що дорівнює кількості поточних рахунків).
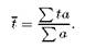
2. Середній термін зберігання вкладів (t). Розраховують яксередню арифметичну зважену з термінів зберігання конкретнихвкладів (t) і сум за вкладами (a):
На практиці цей показник визначають за формулою
де ^ di — сума фактично нарахованих на рахунки вкладників процентів за певний період часу; ^ do — умовна сума процентів, яка була б нарахована на рахунки вкладників, якби вклади зберігалися весь календарний період; Д — кількість календарних днів досліджуваного періоду.
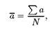
3. Коефіцієнт припливу вкладів. Розраховують як відношення суми припливу вкладів за звітний період (^Пі) до залишків вкладу на початок періоду (Зп):
Сума припливу вкладів визначається як різниця між надходженням і вибуттям вкладів.
Ступінь осідання вкладів (Ос) на рахунках вкладників становить відношення (у відсотках) суми припливу вкладів (Пр) до загальної суми надходження вкладів за певний період часу:
Методи аналізу показників ощадної справи
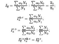
Динаміку середнього розміру вкладу за сукупністю установ ощадного банку аналізують за допомогою індексного методу (індексів змінного складу, фіксованого складу та структурних зрушень):
де a — розмір вкладу на одного вкладника; N — чисельність вкладників.
Вплив на абсолютний приріст загального обсягу вкладів: • зміни середнього розміру вкладу на одного вкладника
• зміни кількості вкладників
Взаємозв'язок:
Кількісну залежність між середнім розміром вкладу і чинниками, які на нього впливають, можна визначити за допомогою коефіцієнта еластичності. Основним чинником, від якого залежить середній розмір вкладу, є рівень доходу. Тому еластичність середнього розміру вкладу залежить насамперед від рівня доходу. У цьому разі середній розмір вкладу (y) розглядається як функція від рівня доходу вкладника:
y = f(x),
де x — рівень доходу вкладника.
Коефіцієнт еластичності характеризує, на скільки відсотків зміниться середній розмір вкладу із зміною рівня доходу вкладника на один відсоток. Коефіцієнт еластичності є інструментом вивчення закономірностей та прогнозу середнього розміру вкладу і розраховується за формулою
де х — розмір вкладу; у — дохід вкладника. Список використаноїлітератури
1. Банківська статистика: Опорний конспект лекцій / А. В. Головач, В. Б. Захожай, Н. А. Головач. — К.: МАУП, 1999.
2. Бланк И. А. Инвестиционный менеджмент. — К. 1995.
3. Бланк И. А. Основы финансового менеджмента: В 2 т. — К.: НИКА-Центр, 1999.
4. Грабовецький Б. Є. Методичні вказівки до вивчення курсу "Загальна теорія статистики". — Вінниця, 1999.
5. Захожай В. В., Шепітко Г. Ф. Статистика ринку товарів та послуг. — К.: Вид-во УФІМВ, 1998.
6. Збірник задач зі статистики / За ред. А. В. Головача, А. М. Єриної, О. В. Козирева, С. С. Герасименка. — К.: Вища шк., 1994.
1 2
