Сторінка
2
Управління активами і пасивами здійснюють через аналіз формування майна підприємства, обігових активів, інвестицій у розвиток майна, формування капіталу, дивідендної політики збільшення власного капіталу, кредитної політики.
Для забезпечення ефективності фінансової діяльності необхідно проаналізувати виконання фінансових планів, ефективність фінансової політики.
Кожному із складових блоків властива специфічна методика статистичного аналізу стосовно розподілів (групувань), напрямків визначення ефективності використання фінансових ресурсів під впливом основних факторів.
Так, у процесі аналізу формування майна підприємств вивчають структуру майна, яке поділяється на основний капітал (основні засоби, нематеріальні активи, капіталовкладення, довгострокові фінансові вкладення) і оборотний, або поточні активи (товарно-матеріальні запаси за собівартістю, авансовані витрати, кошти, дебіторська заборгованість).
При вивченні структури джерел фінансових коштів, які авансуються в майно підприємств, розрізняють внутрішні джерела (чистий прибуток, амортизація основних засобів і нематеріальних активів, кошти, отримані за рахунок емісії акцій) і зовнішні (банківські та поза банківські позики, додаткова емісія акцій).
У процесі аналізу механізму формування майна підприємств вивчають вплив основних факторів: внутрішніх (стадії життєвого циклу підприємства, профіль і обсяги діяльності, стратегічні цілі та завдання) і зовнішніх (стан економіки країни та окремих її регіонів, кон’юнктура ринків, капіталу та ресурсів, конкурентне середовище).
Після цього аналізують формування та використання окремих складових майна підприємства.
Певна частина коштів забезпечує процес господарської діяльності у формі оборотних фондів. Вони авансуються в поточні витрати підприємств і повертаються у складі виручки за реалізовану продукцію. Статистичний аналіз обігових коштів здійснюють у вигляді їх групування за певними класифікаційними ознаками та роллю у виробництві.
За функціональними ознаками і роллю у виробництві вони поділяються на оборотні виробничі фонди (виробничі запаси, незавершене виробництво, витрати майбутніх періодів) і фонди обертання (готова продукція, гроші та кошти в розрахунках).
За ознаками організації обігові кошти поділяють на нормовані та ненормовані.
За джерелами формування розрізняють власні та запозичені кошти.
У процесі статистичного аналізу враховують відмінності у структурі обігових коштів, зумовлені належністю до різних галузей та видів діяльності, а також спеціалізацією виробництва.
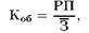
Ефективність використання обігових коштів аналізують на основісукупності показників. Розглянемо основні з них.
• Коефіцієнт оборотності обігових коштів:
де РП — обсяг реалізації продукції за собівартістю; 3 — середнійзалишок обігових коштів.
• Швидкість обороту обігових коштів, днів:
де Д — кількість днів у періоді.
• Абсолютний розмір економії від прискорення обороту обігових коштів:
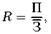
• Коефіцієнт завантаженості:
де ТП — обсяг товарної продукції за період.
• Коефіцієнт рентабельності:
де П — прибуток.
• Коефіцієнт збереження:
де Зп, Зк — залишки обігових коштів відповідно на початок і на кінець періоду.
Наведені показники вивчають як у статиці, так і в динаміці. Динаміку цих показників вивчають за допомогою показників динамічного ряду — темпів зростання та приросту, абсолютного приросту та ін.
У розподілі за установами (підрозділами) підприємства для аналізу динаміки застосовують індекси середніх величин, до складу яких
входять індекси змінного, фіксованого складу та структурних зрушень.
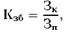
Так, індекс коефіцієнта рентабельності змінного складу
показує відношення середнього рівня рентабельності за сукупністю підрозділів підприємства у звітному періоді до середнього рівня у базисному періоді:
де Rі, Rо — рівень рентабельності в окремих підрозділах підприємства у періоді відповідно звітному та базисному; d\, do — частки залишків обігових коштів у загальному їх обсязі по підприємству. Абсолютна зміна
Індекс рентабельності фіксованого складу визначають за формулою
відповідно абсолютна зміна
Індекс IФ'с показує, як змінився середній рівень рентабельності у звітному періоді порівняно з базисним тільки за рахунок динаміки рівня рентабельності в окремих підрозділах підприємства.
Індекс рентабельності структурних зрушень визначають за формулою
відповідно
Індекс Id'3 показує, як змінився середній рівень рентабельності по підприємству тільки за рахунок зміни розподілу залишків обігових коштів підрозділами підприємства.
Між індексами існує такий взаємозв'язок:
Взаємозв'язок абсолютних показників:
Інші реферати на тему «Фінанси»:
Антикризовий фінансовий менеджмент санаторного підприємства на основі фінансового контролінгу
Бюджетна система України: принципи побудови, бюджетний процес, проблема збалансованого бюджету, особливості збалансування місцевих бюджетів
Непрямі податки, які сплачують підприємства
Фінансовий контроль та його роль у забезпеченні фінансової дисципліни
Управління прибутком та податковими платежами. Дивідендна політика
