Сторінка
2
Збільшення значення Кл свідчить про зміцнення платоспроможності підприємства, і навпаки.
Приклад. Розрахувати К .
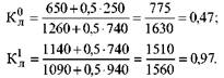
Якщо а1 = 1; а2 = 0,5; а3 = 0,3, то коефіцієнт ліквідності відповідно на початок і кінець року
Отже, показник ліквідності збільшився на 47,6 %.
Без урахування вагових коефіцієнтів, тобто припускаючи, що внесок кожної з трьох груп в узагальнюючий коефіцієнт ліквідності однаковий, маємо
Без урахування вагових коефіцієнтів показник підвищився на 17,6%.
Якби аналітик вважав істотною ліквідність тільки за першими двома групами, тобто поточну, і визначив би, що для першої групи ваговий коефіцієнт дорівнює одиниці, а для другої - 0,5, то
У наведеному прикладі коефіцієнт поточної ліквідності балансу збільшився більш як удвічі.
Список використаної літератури
1. Литвин М. И. О критериях платежеспособности предприятия // Финансы. — 1993. — № 10.
2. Литвин М. И. Применение матричных балансов для оценки финансового состояния предприятия // Финансы. — 1995. — № 3.
3. Миддлтон Д. Бухгалтерский учет и принятие финансовых решений: Учебник: Пер. с англ. — М.: Аудит. ЮНИТИ, 1997. —408с.
4. Нікбахт Е., Гропеллі А. Фінанси: Пер. з англ. — К.: Основи, 1993. — 384 с.
5. Николаева С. А. Особенности учета затрат в условиях рынка: система "директ-костинг". — М.: Финансы и статистика, 1993. — 128 с.
6. Операції комерційних банків / Р. Коцовська та ін. — Львів: Центр "Європа", 1997.—228 с.
7. Патров В. В., Ковалев В. В. Как читать баланс. — М.: Финансы и статистика, 1994. — 254 с.
8. Рабочая тетрадь: Национальные стандарты бухгалтерского учета // Национальный центр экономического образования. — К., 1999.
9. Фінансова діяльність підприємств / О. М. Бандурка та ін. — К.: Либідь, 1998. —312 с.
10. Финансовый анализ деятельности фирмы. — М.: Ист-Сервис, 1995. — 240 с.
11. Финансовый менеджмент: Учеб.-практич. руководство / Е. С. Стоянова и др. — М.: Перспектива, 1993. —268 с.
12. Финансовый менеджмент. — М.: Корпорация "КАРАНА", 1998. — 290 с.
13. Финансы I Под ред. А. М. Ковалевой. — М.: Финансы и статистика, 1996.
14. Хелферт Э. Техника финансового анализа: Пер. с англ. — М.: Аудит. ЮНИТИ, 1996. —664 с.
15. Шеремет А. Д., Сайфулин Р. С. Финансы предприятий. — М.: ИНФРА-М, 1998. — 344 с.
1 2
Інші реферати на тему «Фінанси»:
Технології спеціальних видів фінансового аналізу
Створення і розвиток бюджетної системи
Характеристика фінансових відносин суб’єктів господарювання різних форм власності
Біржові операції з цінними паперами. Місце фондової біржі на ринку цінних паперів
Розвиток міжнародного ринку цінних паперів. Діяльність фондових бірж на міжнародному ринку цінних паперів
