Сторінка
16
4) удосконалювати форми і методи організації самостійної роботи студентів;
5) індивідуалізувати процес навчання у масовій аудиторії зі збереженням цілісності, що дозволяє враховувати індивідуальні особливості студента, розвивати їх здібності;
6) здійснювати принцип алгоритмізації навчальної діяльності.
Крім того, застосування ЕОМ у навчальному процесі є не тільки як засіб навчання, але і як предмет вивчення. Засвоюючи за допомогою ЕОМ певний навчальний курс, студент одночасно оволодіває навичками роботи з електронно-обчислювальною технікою, яка відіграє все зростаючу роль у всіх сферах народного господарства . Проте це не значить, що всі завдання удосконалення навчального процесу можна вирішити за допомогою ЕОМ. Основним критерієм тут повинен бути принцип педагогічної доцільності. Форми і методи навчання, які стимулюють пізнавальну активність студентів, повинні вибиратися залежно від конкретного змісту навчального матеріалу і від конкретної дидактичної мети, що ставиться і може бути найбільш ефективно досягнута за допомогою саме таких форм і методів.
Педагогічні задачі комп'ютерізації семінарських занять з методики фізики можна класифікувати, відзначає Гуревич Ю.Л. , за трьома основними напрямками:
– формування операційного стилю мислення у всіх студентів;
– підвищення ефективності навчального процесу при вивченні методики викладання фізики із застосуванням ЕОМ;
суттєва активізація розумової діяльності студентів за допомогою програм, що оперативно збирають інформацію з робочих студентських місць і аналізують її.
Важливо не забувати, що незалежно від насичення комп'ютерами кабінету методики і техніки фізичного експерименту, все ж основною ланкою на семінарському занятті, яка регулює взаємодію в системі «Студент – ЕОМ», залишається викладач, який володіє методологією і методикою навчального процесу в умовах широкого застосування ЕОМ і загальної комп'ютерної грамотності.
У даному розділі найбільш повна відповідність специфіці ЕОМ має місце у випадках тренування і контролю, що, як правило, є окремими елементами методичної підструктури практичного, лекційного чи семінарського заняття, але час від часу кожному з них (або обом одночасно) присвячуються повні заняття тренувально-контролюючого типу. Ці заняття можуть бути як аудиторними, так і позааудиторними, виконуваними в рамках самостійної роботи.
В застосуванні до автоматизованого навчання поняття «самостійна робота» може практикуватися скоріше як режим чи як компонент дидактичних умов навчання.
В процесі передлабораторного заняття студенти попередньо моделюють лабораторні умови: «збирають» апаратуру, знімають покази приладів, проводять обчислення і інтерпретують результати. На постлабораторних заняттях частина часу витрачається студентами на введення результатів (отриманих в лабораторіях) в ЕОМ для перевірки їх достовірності, а час, що залишився, використовується для обговорення специфічних індивідуальних проблем з викладачем. Заняття, які розширюють рамки лабораторних, присвячуються моделюванню експериментів, які вже виконувались в лабораторних умовах, якщо їх важко повторити з причини тривалості в часі, а також складного чи дорогого обладнання.
Останній тип занять – заняття в режимі «тренажер» – дозволяють відтворювати реальну обстановку, що виникла, наприклад, в кабіні пілота, в космічному кораблі тощо. Цей режим вимагає використання особливих терміналів, які імітують специфічне обладнання. Крім того, заняття в цьому режимі багато в чому перегукуються з лабораторними і тому спеціальний розгляд їх не доцільний.
Закінчуючи розгляд різних форм заняття, потрібно зауважити щодо неповноти їх представлення. Зокрема, ми спеціально не надавали уваги екскурсіям, конференціям, заняттям-дискусіям і багатьом іншим організаційним формам, що входять до навчального процесу. Будь-яка з цих форм потенційно може бути автоматизована. Однак їх автоматизація не завжди доречна. Краще зберегти ці форми як колективні для активізації навчального процесу. Тому їх аналіз не такий важливий в рамках даного дослідження.
Геометрична оптика – граничний випадки хвильової оптики. Підставою для такого твердження є те, що в процесі розвитку класичної електродинаміки було показано, що формули геометричної оптики можуть бути отримані з рівнянь Максвелла, як граничний випадок, що відповідає переходу до зникаюче малої довжини хвилі. Геометрична оптика вивчає закони поширення оптичного випромінювання на основі подання про світлові промені. А світловий промінь – це лінія, уздовж якого поширюється світлова енергія, світловий промінь перпендикулярний фронту світлової хвилі. Користуватися поняттям променя можна лише в тих випадках, коли не треба враховувати дифракційних явищ, тобто коли довжина світлової хвилі λ, багато менше розмірів перешкод, різних неоднорідностей на шляху поширення світла.
Мал. 2.2.1.
Якщо в базовому курсі фізики явища відбиванняя й заломлення світла розглядали тільки як експериментальний факт.
То в старших класах цього ж явища розглядають як прояв хвильових властивостей світла при взаємодії з речовиною. Теоретичний висновок законів відбивання й заломлення світла здійснюють із залученням принципу Гюйгенса на підставі вихідного положення: світло – електромагнітна хвиля.
Мал. 2.2.2.
Це в більш наглядному вигляді можна продемонструвати за допомогою компютерних програм.
Принцип Гюйгенса вводять саме в цьому місці курсу як правило, що дозволяє, виходячи з положення хвильового фронту в який-небудь момент часу, знайти положення хвильового фронту для найближчого моменту часу (мал. 2.2.1.). Необхідність залучення цього додаткового принципу обумовлена недостатньою математичною підготовкою учнів. Але за допомогою комп'ютера цей процес можна спростити і прискорити.
У навчальній і методичній літературі звичайно приводять доказу законів відбиття й переломлення світла, що майже цілком відтворюють докази самого X. Гюйгенса. З розгляду трикутників АCВ і ADВ (мал. 2.2.2.) знаходять співвідношення між кутами (закон відбивання). З розгляду трикутників АDВ і АСВ (мал. 2.2.3.) визначають співвідношення між кутами α і β (закон заломлення).
Мал. 2.2.3.
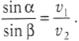
Дійсно, ВР = υ1τ = AВ Sin α = υ2τ = А В Sin β
(де υ1 – швидкість світла в першому середовищі, υ2 – швидкість світла в другому середовищі), звідки
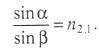
Якщо позначити відношення
через п 2.1, то одержують закон заломлення в звичайній формі
Величина п 2.1 (постійна для даних двох середовищ) не залежить від кутів α і β; її називають відносним показником заломлення другого середовища відносно першого.
Інші реферати на тему «Педагогіка, виховання»:
Освіта, шкільництво і педагогічна думка в Україні у XX ст.
Форма навчання як категорія дидактики
Формування дискурсивної компетенції студентів філологічних факультетів вищих навчальних закладів
Методичні особливості застосування ігрових прийомів та цікавого матеріалу на уроках природознавства в початкових класах
Роль дидактичної гри в розвитку зв’язного мовлення
