Сторінка
4
Більшість багатопрофільних банків користуються консолідаційною схемою. У цьому немає нічого дивного. Ще донедавна банків, що мали більше сотні філій, майже не існувало. Проте ситуація швидко змінюється. Що ж можна порекомендувати банкам, які запроваджують мережу філій? Спочатку потрібно оптимізувати організаційну структуру. Чим менше рівнів ієрархії, тим легше ними керувати, і тим легше побудувати для них інформаційну систему. З іншого боку, в Україні банки змушені йти на збільшення кількості рівнів ієрархії, оскільки установи другого рівня віддалені від головного офіса на сотні кілометрів. Кожна з них, у свою чергу, “обростає” мережею більш дрібних установ третього рівня, що обслуговують територію відповідного регіону. Тягнути мережі телекомунікацій від них до головної контори в наших умовах легше через установи другого рівня (на Заході ситуація прямо протилежна). Таким чином, якщо при дворівневій ієрархії установ для побудови АБС оптимальною є централізована система, то вже при трьохрівневій бажано вибрати розподілену схему.
Звичайно, оптимальне рішення для багатопрофільного банку повинно бути таким, щоб надавати клієнтам єдиний набір послуг та однаковий рівень обслуговування в усіх його установах. З точки зору технології, це можуть дозволити централізовані та розподілені системи. Проте зараз централізовані системи придатні, в основному, для банків з невеликою мережею філій, розміщених в одному населеному пункті, або ж дуже великих та фінансово потужних банків, які здатні створити власну виділену телекомунікаційну мережу. Розподілених же АБС на ринку дуже мало, та й не всі з них відповідають сучасним вимогам щодо стійкості та функціональності. Тому банкам, які відчувають реальну потребу в автоматизації мережі філій, сьогодні можна порекомендувати звернутися до реплікаційної схеми. При цьому необхідно враховувати, що вона, на відміну від консолідованої, передбачає однакову структуру баз даних в усіх філіях. Ідеальний варіант – одна і та ж версія АБС, що встановлена в усіх установах банку та поновлюється одночасно.
Якщо ця умова виконана, то залишається лише створити еплікаційний механізм. Зрозуміло, що при цьому необхідно обміркувати всі деталі, оскільки від надійності його дії буде залежати нормальне функціонування банку. Проте подібний механізм набагато простіший, ніж АБС трьохрівневої архітектури “клієнт-сервер” з монітором трансакцій, та настількі ж дешевший. Крім того, він не настільки залежить від стану мережі зв’язку, а це в наших умовах дуже важливо.
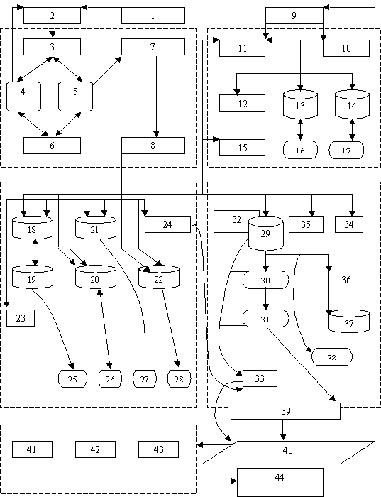
Архітектура віртуальної БС на основі АРМ.
У загальному випадку архітектура Інтел-АРМ може бути представлена п’ятіркою блоків.
Блок 1. Призначений для вводу, контролю, коригування вхідної (початкової) інформації з подальшою її класифікацією, описом та організацією на основі моделей існуючих баз знань.
Блок 2. Призначений для аналізу та розв’язання задач інтелектуального АРМ відповідно до баз концептуальних моделей і готових рішень, які управляються відповідними системами управління концептуальними моделями (СУКМ) і готовими рішеннями (СУГР).
Блок 3. Призначений для збереження та управління фактологічними даними, правилами, цілями і коментарями за допомогою відповідних систем управління; СУБД, СУБН, СУБЦ, СУБК; для прийняття рішень у результаті функціонування модуля самовдосконалення – модуль аналізу і реорганізації знань; видачі інформації про можливі сфери використання систем на основі нових знань – модуль прогнозу.
Блок 4. Призначений для виводу проміжних і кінцевих результатів за допомогою бази результатів, інтерпретатору та лінгвістичного процесора. У блоці використовується синтетична інформаційна модель для дослідження взаємозв’язків між компонентами аналітичної моделі; синтезу вихідної інформації; виявлення “пробільних” знань і формулювання гіпотез; виявлення закономірностей і домінуючих тенденцій, факторів, що гальмують або прискорюють соціально-економічний і технічний розвиток; формування аналітико-синтезованих матеріалів; розробка варіантів управлінських рішень; оцінка їх економічної, соціальної і технічної ефективності. У блоці використовується модуль синтезу нових знань, модуль аналізу функціонування і самовдосконалення інтелектуальної системи на основі результатів її роботи, модуль аналізу помилок функціонування системи і модуль інтерпретації – для узгодження рішень спеціалістами різних рівнів (за рахунок використання алгоритмів узгодження).
Блок 5. Призначений для навчання і тренування (тренажер) користувача роботі з інтелектуальними АРМ і включає модулі навчаючих і демонстраційних програм, методики та методології навчання, пояснення процесу прийняття рішень інтелектуальною системою, сценаріїв діалогу, документально-графічних описів із використанням принципів гіпертексту, мультимедіа, гіпермедіа.
Особливий інтерес при створенні Інтел-АРМ викликає реалізація блока 1 на стадії створення бази знань (БЗ). Знання у БЗ бувають у вигляді: різних фактів емпіричних правил, теорем, припущень, висновків, рекомендацій, цілей, тверджень, концепцій, відносин, стратегій, алгоритмів, евристик, метазнань та ін. Внаслідок такої різноманітності знань із точки зору архітектури Інтел-АРМ їх прийнято класифікувати на ті, що інтерпретуються та не інтерпретуються. До знань, що інтерпретуються, належать: конструктивні, декларативні, управляючі, процедурні; до знань, що не інтерпретуються, – додаткові знання про лексику, граматику, структуру діалогу, а також підтримуючі знання (технологічні, семантичні).
Для роботи Інтел-АРМ із певними знаннями Блок 1 має програмно-технологічний інструментарій перетворення інформації, що надходить на вхід системи у фактологічні дані, які мають властивості знань, тобто характеризуються внутрішньою інтерпретацією, внутрішньою і зовнішньою структурованістю, активністю.
Так, наприклад, внутрішня інтерпретація даних задається у вигляді списків, фреймів, фасет та ін., які дозволяють “розуміти” і обробляти інформацію в пам’яті Інтел-АРМ за суворо формалізованими правилами, що сприяють виключенню нечіткості в знаннях.
Структурованість даних дозволяє представити їх за допомогою родо-видових зв’язків, просторових відносин, відносин типу “частина – ціле – концептуальне”.
Особливий інтерес має модуль самовдосконалення в Блоці 4, де реалізуються: алгоритм обробки фактів і знань, а також алгоритм реалізації логічних виводів. При цьому логічні виводи тісно пов’язані з ІЕС фактами (знаннями), що постійно поповнюються, і самонавчання системи здійснюється при її зіткненні з чимось, що суперечить раніше відомому.
Інші реферати на тему «Банківська справа»:
Порядок підготовки та розроблення прогнозів касових оборотів
Стратегія співробітництва України зі Світовим банком у контексті оптимізації зовнішнього боргу
Економічний аналіз та регулювання діяльності комерційного банку
Проблеми розвитку безготівкових розрахунків в Україні
Сутність та основні поняття валютного законодавства
