Сторінка
2
D-(—)-тpео-1-n-Нітрофеніл-2-дихлорацетиламінопропандіол-1,3
Молекула левоміцетину має 2 асиметричних атоми карбону і тому можливе існування чотирьох ізомерів: D- і L-трео-, D- і L-еритро-, які відрізняються просторовим розташуванням функціональних груп:
Цей вид ізомерії спостерігається також в ефедрині.
Левоміцетин є лівообертаючим трео-ізомером D ряду.
Суміш D (—) і L (+) трео-ізомерів левоміцетину — це рацемат, оптично неактивна речовина, відома під назвою синтоміцин (має 50 % фізіологічної активності левоміцетину).
Еритро-форми в медицині не використовуються, оскільки є токсичними речовинами.
Властивості. Левоміцетин і його стеарат — це білі з жовтуватим або жовтувато-зеленим відтінком кристалічні речовини без запаху.
Левоміцетину сукцинат розчинний — біла або з ледь жовтуватим відтінком пориста маса зі слабким специфічним запахом.
Левоміцетин — гіркий на смак. Малорозчинний у воді, легкорозчинний у спирті.
Левоміцетину сукцинат розчинний — гіркий на смак. Дуже легкорозчинний у воді, малорозчинний у спирті, гігроскопічний.
Левоміцетину стеарат — не має смаку. Практично нерозчинний у воді; важкорозчинний у спирті, у всіх розчинниках утворює мутні розчини.
5 %-ві розчини в спирті мають питоме обертання: від +18 до +21° (левоміцетин) і від +15 до +20° (левоміцетину стеарат), від —11 до —12,6° (левоміцетину сукцинат у суміші метанолу, води і хлороводневої кислоти).
Тотожність. 1. Для підтвердження тотожності лікарських речовин використовують реакції гідролітичного розщеплення в кислому або лужному середовищі з подальшою ідентифікацією утворених продуктів.
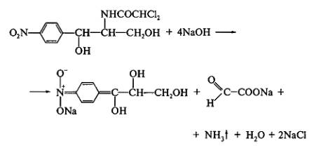
Так, при нагріванні левоміцетину з розчином натрію гідроксиду спочатку виникає жовте забарвлення, що переходить у червоно-оранжеве (внаслідок утворення ацинітроформи), а при подальшому нагріванні утворюється цегляно-червоний осад і з'являється запах амоніаку:
Реакційну суміш фільтрують, у фільтраті підтверджують наявність іонів С
.
2. Левоміцетину стеарат при нагріванні з концентрованою хлороводневою кислотою гідролізується — утворюється стеаринова кислота, яка спливає на поверхню у вигляді маслянистих крапель, які тверднуть при охолодженні:
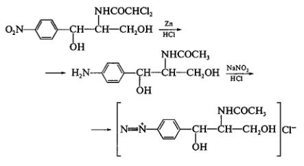
3. За реакцією утворення азобарвника червоного кольору після відновлення нітрогрупи до аміногрупи з подальшим діазотуванням і азосполученням:
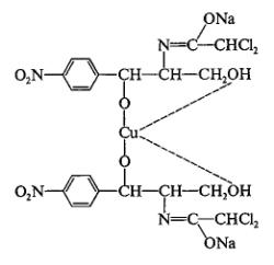
4. В експрес-аналізі використовують реакцію левоміцетину з купруму сульфатом у лужному середовищі в присутності н-бутанолу — спиртовий шар забарвлюється в синьо-фіолетовий колір внаслідок утворення комплексної солі, яка, за припущенням.
5. УФ-спектрофотометрія, визначення питомого показника поглинання.
Кількісне визначення. 1. Нітритометрія після попереднього відновлення нітрогрупи до аміногрупи цинковим пилом у кислому середовищі, Е = М. м:.
2. Спектрофотометрія при
= 278 нм (левоміцетин), 272 нм (левоміцетину стеарат) і 275 нм (левоміцетину сукцинат розчинний).
3. Куприметрія, пряме титрування. Метод ґрунтується на утворенні розчинної комплексної сполуки левоміцетину з купруму сульфатом у лужному середовищі (див. тотожність). Титрант — 0,01 M розчин купруму сульфату (свіжоприготований), індикатор — мурексид. Титрування ведуть від фіолетового до коричнево-червоного забарвлення, однакового із забарвленням контрольного досліду, Е = 2М. м.
4. Куприйодометрія, пряме титрування за замісником. До розчину левоміцетину в лужному середовищі додають розчин купруму сульфату. Осад купруму (II) гідроксиду відфільтровують, у фільтраті розчинний куприлевоміцетиновий комплекс руйнують дією сульфатної кислоти з утворенням еквівалентної кількості купруму сульфату, яку визначають йодометрично, ідикатор — крохмаль, Е=2М.м.:
Проводиться контрольний дослід.
5. Аргентометрія або меркуриметрія. Методи ґрунтуються на окисненні левоміцетину гідрогену пероксидом у лужному середовищі, в результаті якого утворюються 2 молекули натрію хлориду, котрі визначають аргентометрично за Фольгардом або меркури-метрично з індикатором дифенілкарбазидом, Е = 1/2М. м.
6. Фотоколориметрія за утворенням азобарвника після відновлення нітрогрупи до аміногрупи з подальшим діазотуванням і азо-сполученням.
7. Йодометрія. Метод ґрунтується на окисненні продуктів лужного гідролізу левоміцетину. Експериментальне встановлено, що Е = 1/6М. м.
8. Броматометрія, зворотне титрування, Е = 1/4Л/. м.
Зберігання. У добре закупореній тарі, у склянках із темного скла.
Застосування. Левоміцетин належить до антибіотиків широкого спектра дії, застосовується для лікування дизентерії, пневмонії, коклюшу, черевного тифу та інших інфекційних захворювань. Курс лікування 8—10 днів. У дитячій практиці використовують левоміцетину стеарат, який не має гіркого смаку.
Побічні ефекти. Порушує функцію кровотворних органів, тому при лікуванні левоміцетином необхідний аналіз крові. Може викликати дисбактеріоз.
1 2
