Сторінка
4
Оскільки залучення чинників на рівні підприємства відіграє суттєву роль, розглянемо лише внутрішньовиробничі чинники та відповідні їм внутрішньовиробничі резерви зростання продуктивності праці.
Ступінь використання можливостей зростання продуктивності праці під впливом того чи іншого внутрішньовиробничого чинника можна визначити співставленням фактичного та нормативного значень показника, що характеризує даний чинник.
Нормативні значення цих показників являють собою обґрунтовані (у вигляді розрахунків) кількісні та якісні параметри найефективнішого використання чинників, яким відповідають мінімальні затрати праці на виробництво одиниці продукції.
Відповідно до основних елементів процесу праці розрізняють нормативи використання знарядь, предметів та витрат живої праці.
До нормативів, що характеризують використання знарядь праці, відносять: паспортні режими роботи обладнання; проектні коефіцієнти використання виробничої потужності; нормативи, що визначають годинну, змінну, добову продуктивність агрегатів, вихід продукції з одиниці обладнання, квадратного метру виробничої площі та ін.
До нормативів, що визначають затрати живої праці, відносяться нормативи часу, норми обслуговування, нормативи чисельності, норми керованості, дозволені витрати робочого часу та ін.
На практиці нормативне значення показника, що характеризує той чи інший чинник, звичайно не досягається відразу після його реалізації.
На освоєння техніки, режимів роботи, швидкості виконання операцій тощо є необхідним деякий час. Крім того, масштаби введення чинників не завжди відповідають можливим або передбаченим планам впровадження. Внаслідок цього створюються резерви зростання продуктивності праці.
Таким чином, під резервами зростання продуктивності праці розуміють невикористані реальні можливості економії праці, реалізація яких забезпечила б досягнення мінімальних затрат праці на одиницю продукції, робіт або послуг, обумовлених впливом даного чинника за незмінних інших умов.
Величину резервів зростання продуктивності праці можна визначити співставленням витрат праці (рівня продуктивності) при нормативному значенні чинника та фактично досягнутому.
В існуючій практиці аналізу і планування продуктивності праці її зміна характеризується абсолютною та відносною економією витрат праці (чисельності робітників) під впливом окремих чинників або їх сукупності.
Абсолютна економія затрат праці виникає в результаті зменшення чисельності працюючих в умовах незмінного обсягу виробництва або у разі зменшення обсягу виробництва, проте меншою мірою, ніж при зменшенні чисельності працюючих.
Відносна економія затрат (розрахункове скорочення) виникає внаслідок збільшення обсягу виробництва в умовах незмінної чисельності працюючих або у разі збільшення їх чисельності, але меншою мірою, ніж при збільшенні обсягу виробництва.
Ці економічні вимірники застосовуються і для оцінювання резервів зростання продуктивності праці. Вони забезпечують можливість визначення розміру резервів по окремих виробничих підрозділах підприємства в цілому, по кожному виду резервів та всій їх сукупності, а також дозволяють враховувати більш повне використання резервів при обґрунтуванні зростання продуктивності праці на плановий період.
Приріст продуктивності праці від реалізації резервів розраховується за наведеними нижче формулами.
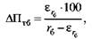
Резерви приросту продуктивності праці, не реалізовані в аналізованому (базовому) періоді, розраховуються за формулою:
де ΔΠτ6 — нереалізований в базовому періоді приріст продуктивності праці через неповне використання потенційних можливостей;
Єг6 — загальна розрахункова відносна та абсолютна економія чисельності промислово-виробничого персоналу (ПВП), що відображає існуючі на підприємстві резерви, чол.; гб — середньоспискова чисельність ПВП в базовому періоді, чол. Можливий приріст продуктивності праці в плановому періоді, який передбачається отримати в результаті реалізації заходів щодо більш повного використання резервів, розраховується за формулою:
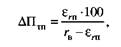
де ΔΠΤΠ — можливий приріст продуктивності праці за рахунок реалізації резервів у плановому періоді, %;
єга — відносна та абсолютна чисельність ПВП, яка може бути отримана в результаті виконання запланованих заходів щодо використання резервів, чол.;
гв — вихідна чисельність ПВП, яка розраховується на основі планового обсягу виробництва та рівня продуктивності праці, досягнутого в кінці базового періоду, з врахуванням впливу структурних зрушень та зміни обсягу кооперативних постачань в плановому періоді, чол.
Резерви являють собою можливості прискорення цілей підприємства, які досягаються, у свою чергу, через використання конкретних ресурсів, що дає підстави розглядати резерви як можливість більш ефективного використання конкретних ресурсів. Оскільки ж ефективність одного і того ж ресурсу може вимірюватися по-різному в залежності від ефекту, пов'язаного з метою підприємства (або з декількома цілями одночасно), то формула розрахунку і одиниці вимірювання резерву використання одного того ж ресурсу можуть змінюватися неодноразово.
Оскільки резерви зростання продуктивності праці виступають як невикористані можливості скорочення витрат праці під впливом тих чи інших чинників, кожен резерв можна розглядати відносно певного чинника, а всю сукупність резервів доцільно класифікувати відповідно до класифікації чинників. Така класифікація дає можливість найповніше виявити склад та структуру резервів, провести комплексний аналіз при їх оцінюванні, встановити основні причини та накреслити конкретні шляхи усунення втрат та невиробничих затрат праці на виробництві.
Відповідно до запропонованої класифікації резерви зростання продуктивності праці можна об'єднати в такі групи:
• резерви, пов'язані з недовикористанням можливостей особистісного чинника виробництва (соціально-економічних чинників);
• резерви, що виникають в результаті нераціонального поєднання матеріально-технічних та особистісних чинників виробництва (недовикористання організаційних чинників).
Взаємопов'язану класифікацію внутрішньовиробничих чинників та резервів зростання продуктивності праці частково наведено в таблиці (с. 140).
Використання резервного зростання продуктивності праці залежить від реальних можливостей виробництва в конкретних умовах, тому при плануванні зростання продуктивності праці резерви мають враховуватися або повністю, або поетапно з розбиттям за періодами. Відповідно до цього розрізняють резерви поточні та перспективні. Залежно від умов формування вони у свою чергу можуть поділятися на дві основні групи:
