Сторінка
2
З метою підвищення ефективності праці, що оплачується робітникам погодинно, встановлюються нормовані завдання на основі вказаних вище різновидів норм праці.
Нормоване завдання — це є встановлений обсяг роботи, що робітник чи група робітників (зокрема, бригада) зобов'язані виконувати за робочу зміну, робочий місяць (відповідно змінне і місячне нормування завдання) або за іншу одиницю робочого часу на роботах, що оплачуються тимчасово.
Норми праці встановлюються на окрему операцію (операційну норму), взаємопов'язану групу операцій, завершений комплекс робіт (збільшена, комплексна норма). Ступінь диференціації норм визначається типом і масштабом виробництва, особливостями продукції, що випускається, нормами організації праці.
Збільшені, комплексні норми встановлюються на планово-облікову (облікову) одиницю продукції (роботи), як правило, на закінчений виріб, вузол, бригадокомплект, технічно відокремлений блок, обсяг сільськогосподарських робіт, етап чи об'єкт будівництва. Вони приймаються, як правило, в умовах колективних форм організації праці.
Норми праці повинні визначатися в основному за нормативними матеріалами для нормування праці, до яких відносяться нормативи режимів роботи обладнання; нормативи праці (нормативи часу, включаючи мікроелементні, нормативи чисельності, нормативи часу обслуговування); єдині та типові норми (часу, виробітку, обслуговування).
Нормативи праці — це є регламентовані значення (величини) затрат праці (часу) на виконання окремих елементів (комплексів) робіт, обслуговування одиниці обладнання, робочого місця, бригади, структурного підрозділу і т. д., а також чисельності робітників, необхідних для виконання виробничих, управлінських функцій чи обсягів робіт, що прийняті за одиницю вимірювання, залежно від конкретних організаційно-технічних умов і чинників виробництва.
Різновидом нормативів чисельності є типові штатні розклади.
Єдині норми праці розробляються на роботи, що виконуються за однаковою технологією в аналогічних умовах виробництва, в одній чи у декількох галузях економіки і є обов'язковими для використання на всіх підприємствах при нормуванні праці робітників на відповідних видах робіт.
При затвердженні єдиних норм встановлюється термін їх введення в дію, щоб підприємства протягом зазначеного часу могли привести фактичні умови виробництва і праці до відповідності з тими, на які розраховані єдині норми.
Типові норми праці розробляються на роботи, що виконуються за типовою технологією з урахуванням раціональних (для даного виробництва) організаційно-технічних умов, вже існуючих на більшості чи частині підприємств, де наявні такі види робіт. Типові норми рекомендуються як еталон для підприємств, де організаційно-технічні умови виробництва ще не досягли рівня, на який розраховані вказані норми.
За сферою використання нормативні матеріали для нормування праці поділяються на міжгалузеві, галузеві (відомчі) і місцеві. У даний час в більшості випадків використовуються місцеві нормативні матеріали, оскільки міжгалузеві та галузеві норми застаріли, і їх не розробляють.
Діюча в народногосподарському комплексі система норм та нормативів праці повинна забезпечувати можливість розрахунку повної трудомісткості продукції щодо всіх елементів виробничого процесу, виробів, груп персоналу і структурних підрозділів.
Поряд з нормами, що встановлені на стабільні за організаційно-технічними умовами роботи, використовуються тимчасові та разові норми.
Тимчасові норми встановлюються на період освоєння тих чи інших робіт при відсутності затверджених нормативних матеріалів для нормування праці. Термін дії тимчасових норм не повинен перевищувати трьох місяців.
Разові норми встановлюються на окремі роботи, що носять одиничний характер (позаплановий, аварійний).
Існуюча система показників дозволяє оцінювати напруження різновидності норм, що використовуються. Це необхідно для того, щоб знати, наскільки об'єктивно розраховано норми і яким є рівень нормування праці.
Коефіцієнт напруги норм часу і норм обслуговування (Кнн) використовується при розрахунках коефіцієнта нормування праці та визначається за формулою:
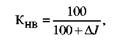
Коефіцієнт напруги норм виробітку (Кнв) використовується при оцінці рівня нормування праці:
де Δ/— середній відсоток перевиконання норм виробітку робітника-ми-відрядниками.
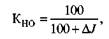
Коефіцієнт напруги норм обслуговування (Кно) використовується при оцінці рівня нормування праці робітників, які зайняті обслуговуванням обладнання, агрегатів і т. ін.:
де Δj встановлюється (в умовах погодинної оплати праці) відношенням середньої нормативної кількості одиниць обладнання (або робочих місць), що підлягають обслуговуванню одним робітником, NH, до середньої фактичної кількості одиниць обладнання (робочих місць) N,, що обслуговуються одним робітником у даному цеху:
У випадку, коли величина NH > Νφ, показник Δ/ приймається рівним нулю.
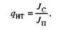
Коефіцієнт напруги праці робітників (</нт) визначається за формулою:
