Сторінка
2
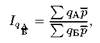
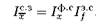
Індекси середніх величин
За допомогою індексів аналізують зміну не лише агрегатів, а й середніх величин.
Припустимо, вивчається динаміка середньої ціни товару на кількох ринках міста. На рівень середньої ціни продажу впливають не тільки ціни на кожному ринку а й частки кожного ринку в загальному обсязі продажу.
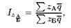
Середню ціну розраховують за формулою
Це індекс змінного складу, який відображає вплив на динаміку середньої ціни не тільки зміни ознаки p, а й структури сукупності
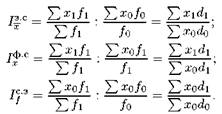
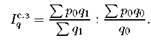
Вплив на динаміку середньої ціни тільки ціни в окремих одиницях сукупності (у розглядуваному прикладі на окремих ринках) показує індекс фіксованого складу:
Вплив на динаміку середньої ціни структурних зрушень в розподілі обсягів продажу по ринках показує індекс структурних зрушень:
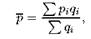
Між наведеними індексами існує взаємозв'язок:
Якщо індексовану ознаку позначити жi, частоту — /i, а частку —di, ця система набере такого вигляду:
Взаємозв'язок індексів такий:
Територіальні індекси
Для вивчення явищ суспільного життя у статистиці використовують метод порівняння показників за країнами, економічними регіонами, містами, підприємствами тощо.
Метод порівняння показників за територією і об'єктами називають методом територіальних індексів. При побудові загальних територіальних індексів вирішують два питання:
• показники якої з порівнюваних територій або об'єктів доцільно взяти за базу порівняння;
• показники якої території або об'єкта доцільно взяти за вагу, або сумірник індексу.
Наведені питання вирішують залежно від мети і завдань порівняння.
Показники порівнюють або за двома територіями (об'єктами), або за сукупністю територій (об'єктів). При порівнянні показників двох територій базою порівняння може бути кожна з них. Якщо порівнюють показники за кількома територіями (об'єктами), то базу порівняння обґрунтовують. Так, якщо порівнюють, наприклад, продуктивність праці за кількома однотипними підприємствами з приблизно однаковими техніко-економічними умовами виробництва, то базою порівняння беруть підприємство з найвищою продуктивністю праці.
При побудові територіальних індексів за якісними показниками вагою може бути:
• кількісний показник території (об'єкта), якісний показник якої найекономніший. Так, при порівнянні рівнів середньої урожайності зернових культур трьох районів з однаковими кліматичними і ґрунтовими умовами вагою територіальних індексів повинна бути структура посівної площі зернових району з найбільшою урожайністю, оскільки її структура найраціональніша;
• середній рівень кількісного показника за сукупністю одиниць порівнюваних територій. Так, при порівнянні собівартості продукції трьох підприємств, продукція яких відрізняється істотно, вагою територіального індексу повинна бути кількість продукції за видами, що виготовлена в середньому за цими підприємствами;
• кількісний показник регіону або країни загалом. Таку вагу називають стандартною і найчастіше використовують при побудові територіальних індексів.
При побудові територіальних індексів за кількісними показниками сумірником може бути:
• середній рівень якісного показника порівнюваних територій. Так, при порівнянні фізичного обсягу продукції машинобудування двох країн вагою беруть середні ціни за видами продукції, попередньо переведені за офіційним світовим валютним курсом;
• середній рівень якісного показника досліджуваного явища, встановлений тип території, узятої за стандарт. Такі сумірники називають стандартними.
Територіальні загальні індекси найчастіше будують у формі агрегатних. Наприклад, територіальний індекс собівартості продукції за двома порівнюваними територіями в разі суттєвої відмінності асортименту має такий вигляд:
де za, zb — собівартість продукції за видами в регіоні відповідно Аі Б; p — середня кількість продукції певного виду за двома порівнюваними територіями.
Вагу індексу в кожному окремому випадку вибирають залежно від завдань порівняння. Так, територіальний індекс фізичного обсягу товарообороту при порівнянні за регіонами має вигляд
де q, q — кількість реалізованих товарів за видами в регіоні відповідно А і Б; p — середня роздрібна ціна.
Список використаноїлітератури
1. Банківська статистика: Опорний конспект лекцій / А. В. Головач, В. Б. Захожай, Н. А. Головач. — К.: МАУП, 1999.
2. Бланк И. А. Инвестиционный менеджмент. — К. 1995.
3. Бланк И. А. Основы финансового менеджмента: В 2 т. — К.: НИКА-Центр, 1999.
4. Грабовецький Б. Є. Методичні вказівки до вивчення курсу "Загальна теорія статистики". — Вінниця, 1999.
5. Захожай В. В., Шепітко Г. Ф. Статистика ринку товарів та послуг. — К.: Вид-во УФІМВ, 1998.
6. Збірник задач зі статистики / За ред. А. В. Головача, А. М. Єриної, О. В. Козирева, С. С. Герасименка. — К.: Вища шк., 1994.
7. Єріна А. М. Статистичне моделювання та прогнозування: Навч. посіб. — К.: Вид-во КНЕУ, 2001.
8. Ерина А. М., Пальян 3. О. Теория статистики: Практикум. — К.: Т-во "Знання", 2001.
9. Мазаракі А. А., Лігоненко Л. О., Ушакова Н. М. Економіка торговельного підприємства. — К.: Хрещатик, 1999.
Інші реферати на тему «Фінанси»:
Заробітна плата у державному секторі
Біржа
Місцеві податки і збори як джерело доходів місцевих бюджетів (на матеріалах Чернівецької міської ради)
Прагматизм бюджетного процесу на локальному рівні. 1. Аналіз діючого порядку складання, розгляду і затвердження бюджетів органів місцевого самоврядування
Оптимізація активно-пасивних операцій комерційного банку методом імовірнісних автоматів
