Сторінка
2
Щодо другої складової — швидкості грошового обігу, то вона визначається як кількість обертів, що їх робить грошовий агрегат (наприклад, Мз) з метою забезпечення певного рівня економічної діяльності, який приблизно дорівнює номінальному ВВП. Зміна швидкості обігу відбиває зміну реального грошового попиту.
Найважливішими макроекономічними індикаторами, які об’єктивно відображають ефективність і стабільність функціонування грошового обороту, є збалансованість бюджету, рівень інфляції, стан фінансів секторів економіки, стабільність національної валюти, обсяг державного внутрішнього та зовнішнього боргу, стан розрахунків і своєчасність усіх видів платежів, структура і якість грошової маси, відповідність грошового і матеріально-вартісного економічних оборотів, раціональність податкової системи.
У процесі статистичного аналізу грошового обігу крім наведених грошових агрегатів і грошової бази використовують систему показників, основними з яких є такі:
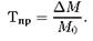
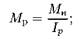
• реальний грошовий агрегат (M), який вимірюється відношенням номінального обсягу грошового агрегату (M) до індексу споживчих цін (Ip):
• швидкість обігу грошей, яка розраховується відношенням об-сягу номінального ВВП до загальної середньої за період маси грошей (M) і показує кількість оборотів, яку робить грошова маса, забезпечуючи економічну діяльність:
• тривалість (час) одного обороту грошової маси:
де Д — кількість календарних днів у періоді.
Статистичне вивчення купюрного складу грошової маси
Під купюрним складом готівкової грошової маси розуміють частку окремих видів грошових знаків у загальній кількості готівкових грошей. Кількість грошових одиниць визначаються за формулою
де m — сума банкнот (монет) номіналу N; N — вартість грошової одиниці (номінал).
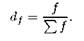
Купюрний склад визначається як сумою банкнот, так і кількістю купюр. За кількістю купюрний склад (df) визначається часткою гро-шових одиниць номіналу у загальній кількості грошових знаків:
За сумою купюрний склад (dm) визначається часткою суми банкнот номіналу у загальному обсязі готівкової грошової маси:
Купюрний склад грошової маси формується під впливом таких чинників:
• рівня грошових доходів населення;
• роздрібних цін на товари і послуги;
• структури товарообороту;
• схильності населення до витрачання грошей. Дослідження купюрного складу грошової маси передбачає:
• спостереження фактичного розподілу готівкових грошей;
• розрахунок відхилення фактичного розподілу від раціонального;
• вивчення зміни структури і розробку заходів з раціоналізації купюрного складу готівкових грошей.
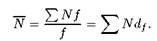
Динаміку купюрного складу грошей аналізують на основі даних про середню купюрність, яку розраховують за формулою
Порівняння середньої купюрності готівкових грошей у динаміці дає можливість одержати зведену оцінку зміни купюрного складу і розробити заходи його коригування.
На розмір готівки в обігу впливають:
• монетарна політика;
• платіжна дисципліна;
• інфляційні очікування;
• зовнішні активи.
Кількість грошей в обігу впливає на обсяг випуску продукції,рівень цін і зайнятість.
Аналіз структури і динаміки
грошової маси. Вплив грошової маси на рівень інфляції
Грошову масу структуризують за різними ознаками залежно відмети аналізу. Як правило, основними групувальними ознаками є ступінь ліквідності активів і вид грошових знаків.
Залежно від ступеня ліквідності, як зазначалося, розрізняють грошові агрегати готівкові та безготівкові. Досліджуючи структуру, визначають частку конкретного групування в загальній величині грошової маси та її динаміку. Виходячи з того, що обсяг грошової маси розраховують кожного місяця, динаміку і структуру абсолютних показників аналізують щомісяця і за роками аналізованого періоду.
У такому аналізі використовують місячні темпи приросту грошової маси і її складових за рік, які визначають за формулою
Дослідження грошового обігу відіграє важливу роль в аналізі інфляційних процесів. Оскільки товарна маса і грошова маса прагнуть до рівноваги, то підвищення середніх цін товарів (продукції) обернено пропорційне зміні їх фізичного обсягу і прямо пропорційне зміні грошового обігу, тобто
Важливим показником інфляційних процесів є динаміка рівня цін в національній економіці (дефлятор ВВП). Виходячи з наведеної залежності динаміку дефлятора ВВП можна формалізувати у вигляді індексної мультиплікативної моделі:
За допомогою цієї моделі визначають динаміку інфляційних процесів під впливом окремих чинників.
Статистичне прогнозування касових оборотів
Рух грошової готівки характеризують за допомогою прогнозу касових оборотів. Він відображає рух грошової маси зі сфери обігу в каси банківських установ і видачу готівки підприємствам, установам, населенню.
Прогноз складається на квартал з розподілом за числами і затверджується для кожної банківської установи.
Прогноз касових оборотів складають для надходження готівки(прогнозне надходження готівки в касу банківської установи) і її видачі (прогнозна видача з каси банківської установи).
При цьому використовують такі методи прогнозування:
• екстраполяції (за середнім абсолютним приростом, індексомцін, коефіцієнтом еластичності, трендовою моделлю тощо);
• цільовий (пошук умов для досягнення заданих обсягів касових оборотів);
Інші реферати на тему «Фінанси»:
Пенсійні фонди на фінансових ринках
Податки в системі фінансових відносин підприємства
Бюджетний устрій та бюджетна система України
Національні фінанси України і внутрішнє середовище. Потоки капіталів в Україні, основні фінансові інститути України
Сутність оподаткування підприємств і податкова система
