Сторінка
4
Кадрове планування базується на оперативному плані роботи з персоналом, виконання якого є основою успіху суб'єкта ринкових відносин в конкурентній боротьбі. Оперативний план роботи з персоналом — це є комплекс взаємопов'язаних заходів, після здійснення яких реалізується кадрове планування в організації (див. схему З на с. 223).
Науково-технічна революція, що істотно змінила джерела конкурентоспроможності підприємства, зумовила необхідність розробки нових підходів до активізації трудової поведінки персоналу підприємства. Якщо індустріальне суспільство націлювало менеджмент в рамках парадигми "економічної людини" на розвиток економічного потенціалу підприємства, то в умовах постіндустріального суспільства менеджмент змушений переходити до парадигми "соціальної людини", його більше турбують соціальні аспекти функціонування виробничих систем, емоційно-психологічний клімат, що існує в трудових колективах. Інформатизація та інтелектуалізація праці, з одного боку, надзвичайно підвищили навантаження на психіку людини, з іншого — вимагають від неї більше творчих підходів до виконання трудових функцій, уміння працювати в колективі. А цьому сприяє психологічно комфортний клімат на робочому місці та відповідність якостей людини, закладених в неї природою і сформованих соціальним досвідом, характеру трудових функцій і тій ролі, що вона виконує в колективі.
Ефект самоорганізації праці формується під впливом складної системи соціально-психологічних чинників, аналіз яких показує, що активізація трудової поведінки персоналу багато в чому визначається створенням умов для самовиявлення особистості (див. схему 4).
На поведінку окремого працівника все сильніше впливають колектив, в якому він працює, і культурні традиції, що склалися, а
ефективність роботи колективу, в свою чергу, багато в чому визначається психологічними характеристиками керівника, стилем його роботи. Підвищені вимоги висуваються до таких ділових якостей керівника, як завзятість, рішучість, лідерство, товариськість, здатність впливати на інших людей, новаторство, упевненість, організованість та інші, а також до його моральних якостей, що повинні відповідати прийнятим у суспільстві етичним нормам поведінки, загальній культурі підприємства і свідчити про його соціальну відповідальність.
У трансформаційній економіці менеджери підприємств повинні звертати особливу увагу на вказані чинники, що впливають на персонал підприємства, бо від цього залежать результат роботи колективу і його конкурентоспроможність на ринку.
У цьому значну роль відіграє мотивація, що є основою будь-якої поведінки людини і зусиль, спрямованих на підвищення результативності діяльності. Слід зазначити, що мотивація — це є процес, який спонукає окрему людину або групу людей на досягнення цілей організації. Мотивація трудової діяльності — складний, відносно стійкий процес, обумовлений певними особистісними характеристиками людини, а також певною необхідністю задоволення її потреб та їх відповідності зовнішнім умовам в процесі діяльності. Вона є сукупністю внутрішніх і зовнішніх сил, що спонукають людину до діяльності, зумовлюють поведінку, форму діяльності, надають цій діяльності спрямованості, яка орієнтована на досягнення особистих цілей і цілей організації. Це досягається за допомогою методів, що класифікуються у певний спосіб (див. схему 5 на с. 226).
Найефективнішим засобом підвищення мотивації є публічна висока оцінка хорошої роботи, компетентності та вмінь членів колективу.
Від того як організована система мотивації праці значною мірою залежить ефективність роботи колективу, а значить, і конкурентоспроможність фірми на ринку.
Ефективність управління персоналом визначається ступенем реалізації загальних цілей організації. Управління нею можна умовно поділити на два етапи: оцінка загальної ефективності функціонування трудових ресурсів і визначення "вузьких місць" організації, планування та здійснення заходів, спрямованих на підвищення ефективності. Якщо перше завдання безпосередньо відноситься до моделювання економічних процесів і спирається на відповідний інструмент, то друге — скоріше завдання менеджменту. Повна ефективність колективної діяльності персоналу (Е) при виконанні певної елементарної операції оцінюється як функція чотирьох компонентів:
де Епс — психосоціальна ефективність;
Ек — ефективність комунікацій;
Епр — професійна ефективність;
Енс — складова ефективність, обумовлена сприятливістю навколишнього середовища;
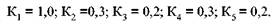
Кр К2, К3, К4, К5— відповідно коефіцієнти повної ефективної, психосоціальної ефективності, ефективності комунікації, професійної ефективності та сприятливості довкіллю.
Розрахунки В. В. Жильченкової [ЗО] показали, що як правило:
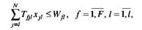
Крім методу оцінки ефективності колективної діяльності групи працівників існують й інші методи аналогічного призначення. Більшість з них базуються на визначенні ймовірності виконання робочою групою деяких цільових операцій, що визначають призначення системи і ступінь завантаження кожного працівника. Існують підходи до розрахунку виробничої програми об'єднання, що, як правило, зводяться до розв'язання такої задачі лінійного програмування:
де j— індекс виробу, що випускається;
/ — індекс підприємства;
/— індекс устаткування;
F— виробничі фонди підприємства;
ρ ,— прибуток, який одержується від реалізації одиниці у'-виробу на /-підприємстві;
В г.,— норма витрат/-групи устаткування на /-підприємстві для виробництва одиниці у'-виробу;
N — кількість продукції;
Ф„ — виробнича потужність /-підприємства по /-групі устаткування;
χ ,— невідома величина випуску у'-виробів на /-підприємстві;
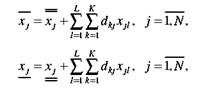
χ χ — нижня і верхня межі виробництва у'-виду з урахуванням внутрішньої кооперації виробів, тобто:
де А: — індекс комплектувальних виробів; d, — норма комплектації; хх — мінімально і максимально припустиме виробництво виробів.
Оскільки персонал як специфічний ресурс бере участь у процесі виробництва на кожній його стадії і є одним із найістотніших джерел резервів підприємства, його бажано виділяти, і таким чином, отримати додаткову групу обмежень:
