Сторінка
2
Слід зазначити, що існує інший підхід до оцінки рівня організації праці як в цілому по підприємству, так і по окремих цехах. Він розраховується як середньозважена величина на базі загальних (інтегральних) показників, отриманих по окремих робочих місцях (дільницях), і розраховується за формулою:
де К ш — загальний (інтегральний) коефіцієнт організації праці на окремих г'-х ділянках виробництва;
P; — чисельність робочих на відповідних окремих виробничих ділянках, чол.
В основі як НОП, так і організації праці на рівні підприємства є трудовий процес, що являє собою сукупність дій виконавців щодо здійснення виробничих функцій, спрямованих на виробництво продукції. Зміст трудового аспекту виробничого процесу визначається технологією виробництва і в залежності від цього робітник може або спостерігати виробничий процес, або безпосередньо впливати на нього. Залежно від цього трудові процеси поділяються на ручні, машинно-ручні, машинні, автоматизовані та апаратні. Вони (трудові процеси) представляють сукупність дій працівника щодо здійснення цілеспрямованих змін предметів праці. Трудові процеси є частиною виробничого процесу — сукупності цілеспрямованих технологічних і трудових дій, у результаті яких предмети праці під впливом процесу праці перетворюються на продукти праці. Виробничі процеси класифікуються у такий спосіб (див. схему 7):
Схема 1 Класифікація виробничих процесів
Класифікація і структура трудових процесів багато в чому є подібною до наведеної класифікації виробничих процесів.
Безпосередньо з виробничим процесом, незалежно від його виду, пов'язана організація робочих місць — первинної ланки виробництва.
Робоче місце — оснащена необхідними технічними засобами частина виробничої площі, в якій здійснюється трудова діяльність робітника або групи робітників, котрі сумісно виконують виробничі завдання виробництва матеріальних благ. Робоче місце є частиною виробничо-технологічної структури підприємства (організації), призначеної для виконання частки технологічного (виробничого) процесу.
Робочі місця класифікуються за різними ознаками (див. схему 2):
Схема 2 Класифікація робочих місць
Оскільки основним елементом системи управління персоналом є робоче місце, можна виділити дві групи завдань, що необхідні для визначення даного поняття. Першу складають технологічні, організаційні та ергономічні завдання, пов'язані з проектуванням технологічних та трудових процесів, вдосконаленням умов праці, оперативним регулюванням виробництва. Другу — завдання планування чисельності персоналу, аналізу ринку праці та забезпечення зайнятості (див. схему 3).
Схема 3 Аспекти поняття "робоче місце"
Функціонування робочого місця визначається технічними, технологічними, організаційними, економічними, соціальними, ергономічними, психофізіологічними та іншими чинниками. Робоче місце висуває відповідні вимоги до рівня загальноосвітньої та професійно-кваліфікаційної підготовки робітника, його дисципліни і відповідальності. У процесі виробництва робочі місця функціонують у тісному взаємозв'язку на основі досягнутого рівня розподілу і кооперації праці, відповідно до застосовуваної технології, створюючи при цьому органічно пов'язану сукупність — систему робочих місць. Для оцінки робочого місця використовується система показників, що характеризують їхній техніко-технологічний, організаційний та соціально-економічний рівень у порівнянні з кращими вітчизняними народногосподарськими та світовими досягненнями. Для забезпечення
якісної та кількісної збалансованості робочих місць і наявних трудових ресурсів, підвищення ефективності використання матеріальних ресурсів і трудового потенціалу застосовується облік, атестація, раціоналізація та планування робочих місць, розробляються баланси робочих місць та трудових ресурсів. Як економічна категорія робоче місце характеризується системою вартісних і натуральних показників, що з одного боку відображають властивості робочого місця, а з іншого — його економічні зв'язки з іншими чинниками та умовами виробництва. До даних показників відносяться: кількість робочих місць (Рм), коефіцієнт укомплектування робочою силою, кількість місце-змін, річний фонд робочого часу та інші [ЗО].
Поряд із поняттям "робоче місце" часто використовують поняття "робоча зона" — площа, на якій сконцентровані засоби виробництва, тобто робочі місця. Розташування робочих місць в робочій зоні залежить від типу виробництва (масове, серійне, індивідуальне), від рівня організації виробництва (конвейєр, потік тощо) та характеру технологічного процесу.
Існує два коефіцієнти оцінки робочих місць:
• коефіцієнт організації робочих місць;
• коефіцієнт оснащеності робочого місця.
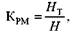
Коефіцієнт організації робочих місць (Крм) використовується для оцінки відповідності типовим проектам наявної організації робочих місць в тому чи іншому підрозділі підприємства:
де ΗΊ — кількість місць, що відповідають типовим проектам;
Η — загальна кількість робочих місць на даній дільниці (в цеху, на підприємстві);
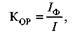
Коефіцієнт оснащеності робочого місця (Кор) характеризує ступінь фактичної оснащеності робочого місця технологічною оснасткою, інструментами, засобами, документацією тощо у порівнянні з вимогами, передбаченими технологічним процесом або проектом:
де Іф — фактична кількість одиниць технологічної оснастки, інструментів, засобів тощо, що використовуються на робочих місцях;
І— кількість одиниць оснастки, інструментів тощо, передбачених для використання на тих самих робочих місцях за технологією (проектом).
Цей показник характеризує також рівень організації робочих місць.
Організація робочих місць тісно пов'язана із організацією праці і, в першу чергу, із робочою позою, правильний вибір якої запобігає швидкій втомлюваності та шкідливому впливу на організм, підвищує продуктивність праці.
